2023-08-31 , Volume 27 Issue 8

Cover illustration

  •  

    Download cover

  • Select all
    Editorial
  • Smart Process Manufacturing toward Carbon Neutrality: Digital Transformation in Process Manufacturing for Achieving the Goals of Carbon Peak and Carbon Neutrality
    [Author(id=1162119874115854467, tenantId=1045748351789510663, journalId=1155139928190095384, articleId=1159858601202344422, orderNo=0, firstName=null, middleName=null, lastName=null, nameCn=null, orcid=null, stid=null, country=null, authorPic=null, dead=0, email=null, emailSecond=null, emailThird=null, correspondingAuthor=0, authorType=1, ext={EN=AuthorExt(id=1162119874266849415, tenantId=1045748351789510663, journalId=1155139928190095384, articleId=1159858601202344422, authorId=1162119874115854467, language=EN, stringName=Feng Qian, firstName=Feng, middleName=null, lastName=Qian, prefix=null, suffix=null, authorComment=null, nameInitials=null, affiliation=null, department=null, xref=null, address=Key Laboratory of Smart Manufacturing in Energy Chemical Process, Ministry of Education, East China University of Science and Technology, Shanghai 200237, China, bio=null, bioImg=null, bioContent=null, aboutCorrespAuthor=null), CN=AuthorExt(id=1162119874388484233, tenantId=1045748351789510663, journalId=1155139928190095384, articleId=1159858601202344422, authorId=1162119874115854467, language=CN, stringName=钱锋, firstName=null, middleName=null, lastName=null, prefix=null, suffix=null, authorComment=null, nameInitials=null, affiliation=null, department=null, xref=null, address=Key Laboratory of Smart Manufacturing in Energy Chemical Process, Ministry of Education, East China University of Science and Technology, Shanghai 200237, China, bio=null, bioImg=null, bioContent=null, aboutCorrespAuthor=null)}, companyList=null)] Feng Qian

    Nowadays, there has been a growing trend in the field of high-energy physics (HEP), in both its experimental and phenomenological studies, to incorporate machine learning (ML) and its specialized branch, deep learning (DL). This review paper provides a thorough illustration of these applications using different ML and DL approaches. The first part of the paper examines the basics of various particle physics types and establishes guidelines for assessing particle physics alongside the available learning models. Next, a detailed classification is provided for representing Jets that are reconstructed in high-energy collisions, mainly in proton-proton collisions at well-defined beam energies. This section covers various datasets, preprocessing techniques, and feature extraction and selection methods. The presented techniques can be applied to future hadron−hadron colliders (HHC), such as the high-luminosity LHC (HL-LHC) and the future circular collider−hadron−hadron (FCC-hh). The authors then explore several AI techniques analyses designed specifically for both image and point-cloud (PC) data in HEP. Additionally, a closer look is taken at the classification associated with Jet tagging in hadron collisions. In this review, various state-of-the-art (SOTA) techniques in ML and DL are examined, with a focus on their implications for HEP demands. More precisely, this discussion addresses various applications in extensive detail, such as Jet tagging, Jet tracking, and particle classification. The review concludes with an analysis of the current state of HEP using DL methodologies. It highlights the challenges and potential areas for future research, which are illustrated for each application.

  • News & Highlights
  • News & Highlights
    Geoengineering Research Moves from Laboratory to Field
    [Author(id=1162119862128534310, tenantId=1045748351789510663, journalId=1155139928190095384, articleId=1159858289016103094, orderNo=0, firstName=null, middleName=null, lastName=null, nameCn=null, orcid=null, stid=null, country=null, authorPic=null, dead=0, email=null, emailSecond=null, emailThird=null, correspondingAuthor=0, authorType=1, ext={EN=AuthorExt(id=1162119862245974826, tenantId=1045748351789510663, journalId=1155139928190095384, articleId=1159858289016103094, authorId=1162119862128534310, language=EN, stringName=Sarah C.P. Williams, firstName=Sarah, middleName=null, lastName=C.P. Williams, prefix=null, suffix=null, authorComment=null, nameInitials=null, affiliation=null, department=null, xref=null, address=null, bio={"content":"

    Senior Technology Writer

    "}, bioImg=null, bioContent=null, aboutCorrespAuthor=null), CN=AuthorExt(id=1162119862371803954, tenantId=1045748351789510663, journalId=1155139928190095384, articleId=1159858289016103094, authorId=1162119862128534310, language=CN, stringName=Sarah C.P. Williams, firstName=null, middleName=null, lastName=null, prefix=null, suffix=null, authorComment=null, nameInitials=null, affiliation=null, department=null, xref=null, address=null, bio=null, bioImg=null, bioContent=null, aboutCorrespAuthor=null)}, companyList=null)]
    Sarah C.P. Williams

    Nowadays, there has been a growing trend in the field of high-energy physics (HEP), in both its experimental and phenomenological studies, to incorporate machine learning (ML) and its specialized branch, deep learning (DL). This review paper provides a thorough illustration of these applications using different ML and DL approaches. The first part of the paper examines the basics of various particle physics types and establishes guidelines for assessing particle physics alongside the available learning models. Next, a detailed classification is provided for representing Jets that are reconstructed in high-energy collisions, mainly in proton-proton collisions at well-defined beam energies. This section covers various datasets, preprocessing techniques, and feature extraction and selection methods. The presented techniques can be applied to future hadron−hadron colliders (HHC), such as the high-luminosity LHC (HL-LHC) and the future circular collider−hadron−hadron (FCC-hh). The authors then explore several AI techniques analyses designed specifically for both image and point-cloud (PC) data in HEP. Additionally, a closer look is taken at the classification associated with Jet tagging in hadron collisions. In this review, various state-of-the-art (SOTA) techniques in ML and DL are examined, with a focus on their implications for HEP demands. More precisely, this discussion addresses various applications in extensive detail, such as Jet tagging, Jet tracking, and particle classification. The review concludes with an analysis of the current state of HEP using DL methodologies. It highlights the challenges and potential areas for future research, which are illustrated for each application.

  • Global Timekeepers Push Pause on the Leap Second
    [Author(id=1162119861008655067, tenantId=1045748351789510663, journalId=1155139928190095384, articleId=1159858285249618100, orderNo=0, firstName=null, middleName=null, lastName=null, nameCn=null, orcid=null, stid=null, country=null, authorPic=null, dead=0, email=null, emailSecond=null, emailThird=null, correspondingAuthor=0, authorType=1, ext={EN=AuthorExt(id=1162119861130289895, tenantId=1045748351789510663, journalId=1155139928190095384, articleId=1159858285249618100, authorId=1162119861008655067, language=EN, stringName=Chris Palmer, firstName=Chris, middleName=null, lastName=Palmer, prefix=null, suffix=null, authorComment=null, nameInitials=null, affiliation=null, department=null, xref=null, address=null, bio={"content":"

    Senior Technology Writer

    "}, bioImg=null, bioContent=null, aboutCorrespAuthor=null), CN=AuthorExt(id=1162119861251924724, tenantId=1045748351789510663, journalId=1155139928190095384, articleId=1159858285249618100, authorId=1162119861008655067, language=CN, stringName=Chris Palmer, firstName=null, middleName=null, lastName=null, prefix=null, suffix=null, authorComment=null, nameInitials=null, affiliation=null, department=null, xref=null, address=null, bio=null, bioImg=null, bioContent=null, aboutCorrespAuthor=null)}, companyList=null)]
    Chris Palmer

    Nowadays, there has been a growing trend in the field of high-energy physics (HEP), in both its experimental and phenomenological studies, to incorporate machine learning (ML) and its specialized branch, deep learning (DL). This review paper provides a thorough illustration of these applications using different ML and DL approaches. The first part of the paper examines the basics of various particle physics types and establishes guidelines for assessing particle physics alongside the available learning models. Next, a detailed classification is provided for representing Jets that are reconstructed in high-energy collisions, mainly in proton-proton collisions at well-defined beam energies. This section covers various datasets, preprocessing techniques, and feature extraction and selection methods. The presented techniques can be applied to future hadron−hadron colliders (HHC), such as the high-luminosity LHC (HL-LHC) and the future circular collider−hadron−hadron (FCC-hh). The authors then explore several AI techniques analyses designed specifically for both image and point-cloud (PC) data in HEP. Additionally, a closer look is taken at the classification associated with Jet tagging in hadron collisions. In this review, various state-of-the-art (SOTA) techniques in ML and DL are examined, with a focus on their implications for HEP demands. More precisely, this discussion addresses various applications in extensive detail, such as Jet tagging, Jet tracking, and particle classification. The review concludes with an analysis of the current state of HEP using DL methodologies. It highlights the challenges and potential areas for future research, which are illustrated for each application.

  • Farmers Reap Right to Repair Agricultural Equipment
    [Author(id=1162119861180621552, tenantId=1045748351789510663, journalId=1155139928190095384, articleId=1159858283894857906, orderNo=0, firstName=null, middleName=null, lastName=null, nameCn=null, orcid=null, stid=null, country=null, authorPic=null, dead=0, email=dave.egerter@gmail.com, emailSecond=null, emailThird=null, correspondingAuthor=1, authorType=1, ext={EN=AuthorExt(id=1162119861298062071, tenantId=1045748351789510663, journalId=1155139928190095384, articleId=1159858283894857906, authorId=1162119861180621552, language=EN, stringName=Mitch Leslie, firstName=Mitch, middleName=null, lastName=Leslie, prefix=null, suffix=null, authorComment=null, nameInitials=null, affiliation=null, department=null, xref=*, address=null, bio={"content":"

    Senior Technology Writer

    "}, bioImg=null, bioContent=null, aboutCorrespAuthor=null), CN=AuthorExt(id=1162119861411308282, tenantId=1045748351789510663, journalId=1155139928190095384, articleId=1159858283894857906, authorId=1162119861180621552, language=CN, stringName=Mitch Leslie, firstName=null, middleName=null, lastName=null, prefix=null, suffix=null, authorComment=null, nameInitials=null, affiliation=null, department=null, xref=*, address=null, bio=null, bioImg=null, bioContent=null, aboutCorrespAuthor=null)}, companyList=null)]
    Mitch Leslie

    Nowadays, there has been a growing trend in the field of high-energy physics (HEP), in both its experimental and phenomenological studies, to incorporate machine learning (ML) and its specialized branch, deep learning (DL). This review paper provides a thorough illustration of these applications using different ML and DL approaches. The first part of the paper examines the basics of various particle physics types and establishes guidelines for assessing particle physics alongside the available learning models. Next, a detailed classification is provided for representing Jets that are reconstructed in high-energy collisions, mainly in proton-proton collisions at well-defined beam energies. This section covers various datasets, preprocessing techniques, and feature extraction and selection methods. The presented techniques can be applied to future hadron−hadron colliders (HHC), such as the high-luminosity LHC (HL-LHC) and the future circular collider−hadron−hadron (FCC-hh). The authors then explore several AI techniques analyses designed specifically for both image and point-cloud (PC) data in HEP. Additionally, a closer look is taken at the classification associated with Jet tagging in hadron collisions. In this review, various state-of-the-art (SOTA) techniques in ML and DL are examined, with a focus on their implications for HEP demands. More precisely, this discussion addresses various applications in extensive detail, such as Jet tagging, Jet tracking, and particle classification. The review concludes with an analysis of the current state of HEP using DL methodologies. It highlights the challenges and potential areas for future research, which are illustrated for each application.

  • Views & Comments
  • Views & Comments
    Benefits Realization Management of Computer Vision in Construction: A Missed, Yet Not Lost, Opportunity
    [Author(id=1162119558792274400, tenantId=1045748351789510663, journalId=1155139928190095384, articleId=1159852881950072956, orderNo=0, firstName=null, middleName=null, lastName=null, nameCn=null, orcid=null, stid=null, country=null, authorPic=null, dead=0, email=null, emailSecond=null, emailThird=null, correspondingAuthor=0, authorType=1, ext={EN=AuthorExt(id=1162119558955852267, tenantId=1045748351789510663, journalId=1155139928190095384, articleId=1159852881950072956, authorId=1162119558792274400, language=EN, stringName=Peter E.D. Love, firstName=Peter, middleName=null, lastName=E.D. Love, prefix=null, suffix=null, authorComment=null, nameInitials=null, affiliation=null, department=null, xref=a, address=aSchool of Civil and Mechanical Engineering, Curtin University, Perth, WA 6845, Australia, bio=null, bioImg=null, bioContent=null, aboutCorrespAuthor=null), CN=AuthorExt(id=1162119559081681396, tenantId=1045748351789510663, journalId=1155139928190095384, articleId=1159852881950072956, authorId=1162119558792274400, language=CN, stringName=Peter E.D. Love, firstName=null, middleName=null, lastName=null, prefix=null, suffix=null, authorComment=null, nameInitials=null, affiliation=null, department=null, xref=a, address=aSchool of Civil and Mechanical Engineering, Curtin University, Perth, WA 6845, Australia, bio=null, bioImg=null, bioContent=null, aboutCorrespAuthor=null)}, companyList=null), Author(id=1162119559190733305, tenantId=1045748351789510663, journalId=1155139928190095384, articleId=1159852881950072956, orderNo=1, firstName=null, middleName=null, lastName=null, nameCn=null, orcid=null, stid=null, country=null, authorPic=null, dead=0, email=null, emailSecond=null, emailThird=null, correspondingAuthor=0, authorType=1, ext={EN=AuthorExt(id=1162119559341728255, tenantId=1045748351789510663, journalId=1155139928190095384, articleId=1159852881950072956, authorId=1162119559190733305, language=EN, stringName=Jane Matthews, firstName=Jane, middleName=null, lastName=Matthews, prefix=null, suffix=null, authorComment=null, nameInitials=null, affiliation=null, department=null, xref=b, address=bSchool of Architecture and Built Environment, Deakin University Geelong Waterfront Campus, Geelong, VIC 3220, Australia, bio=null, bioImg=null, bioContent=null, aboutCorrespAuthor=null), CN=AuthorExt(id=1162119559454974467, tenantId=1045748351789510663, journalId=1155139928190095384, articleId=1159852881950072956, authorId=1162119559190733305, language=CN, stringName=Jane Matthews, firstName=null, middleName=null, lastName=null, prefix=null, suffix=null, authorComment=null, nameInitials=null, affiliation=null, department=null, xref=b, address=bSchool of Architecture and Built Environment, Deakin University Geelong Waterfront Campus, Geelong, VIC 3220, Australia, bio=null, bioImg=null, bioContent=null, aboutCorrespAuthor=null)}, companyList=null), Author(id=1162119559568220679, tenantId=1045748351789510663, journalId=1155139928190095384, articleId=1159852881950072956, orderNo=2, firstName=null, middleName=null, lastName=null, nameCn=null, orcid=null, stid=null, country=null, authorPic=null, dead=0, email=null, emailSecond=null, emailThird=null, correspondingAuthor=0, authorType=1, ext={EN=AuthorExt(id=1162119559756964367, tenantId=1045748351789510663, journalId=1155139928190095384, articleId=1159852881950072956, authorId=1162119559568220679, language=EN, stringName=Weili Fang, firstName=Weili, middleName=null, lastName=Fang, prefix=null, suffix=null, authorComment=null, nameInitials=null, affiliation=null, department=null, xref=a, c, address=aSchool of Civil and Mechanical Engineering, Curtin University, Perth, WA 6845, Australia
    cDepartment of Civil and Building Systems, Technische Universität Berlin, Berlin 13156, Germany, bio=null, bioImg=null, bioContent=null, aboutCorrespAuthor=null), CN=AuthorExt(id=1162119559874404883, tenantId=1045748351789510663, journalId=1155139928190095384, articleId=1159852881950072956, authorId=1162119559568220679, language=CN, stringName=Weili Fang, firstName=null, middleName=null, lastName=null, prefix=null, suffix=null, authorComment=null, nameInitials=null, affiliation=null, department=null, xref=a, c, address=aSchool of Civil and Mechanical Engineering, Curtin University, Perth, WA 6845, Australia
    cDepartment of Civil and Building Systems, Technische Universität Berlin, Berlin 13156, Germany, bio=null, bioImg=null, bioContent=null, aboutCorrespAuthor=null)}, companyList=null), Author(id=1162119559983456796, tenantId=1045748351789510663, journalId=1155139928190095384, articleId=1159852881950072956, orderNo=3, firstName=null, middleName=null, lastName=null, nameCn=null, orcid=null, stid=null, country=null, authorPic=null, dead=0, email=null, emailSecond=null, emailThird=null, correspondingAuthor=0, authorType=1, ext={EN=AuthorExt(id=1162119560172200481, tenantId=1045748351789510663, journalId=1155139928190095384, articleId=1159852881950072956, authorId=1162119559983456796, language=EN, stringName=Hanbin Luo, firstName=Hanbin, middleName=null, lastName=Luo, prefix=null, suffix=null, authorComment=null, nameInitials=null, affiliation=null, department=null, xref=d, e, address=dNational Center of Technology Innovation for Digital Construction, Huazhong University of Science and Technology, Wuhan 430074, China
    eSchool of Civil Engineering and Mechanics, Huazhong University of Science and Technology, Wuhan 430074, China, bio=null, bioImg=null, bioContent=null, aboutCorrespAuthor=null), CN=AuthorExt(id=1162119560285446692, tenantId=1045748351789510663, journalId=1155139928190095384, articleId=1159852881950072956, authorId=1162119559983456796, language=CN, stringName=Hanbin Luo, firstName=null, middleName=null, lastName=null, prefix=null, suffix=null, authorComment=null, nameInitials=null, affiliation=null, department=null, xref=d, e, address=dNational Center of Technology Innovation for Digital Construction, Huazhong University of Science and Technology, Wuhan 430074, China
    eSchool of Civil Engineering and Mechanics, Huazhong University of Science and Technology, Wuhan 430074, China, bio=null, bioImg=null, bioContent=null, aboutCorrespAuthor=null)}, companyList=null)]
    Peter E.D. Love , Jane Matthews , Weili Fang , Hanbin Luo

    Nowadays, there has been a growing trend in the field of high-energy physics (HEP), in both its experimental and phenomenological studies, to incorporate machine learning (ML) and its specialized branch, deep learning (DL). This review paper provides a thorough illustration of these applications using different ML and DL approaches. The first part of the paper examines the basics of various particle physics types and establishes guidelines for assessing particle physics alongside the available learning models. Next, a detailed classification is provided for representing Jets that are reconstructed in high-energy collisions, mainly in proton-proton collisions at well-defined beam energies. This section covers various datasets, preprocessing techniques, and feature extraction and selection methods. The presented techniques can be applied to future hadron−hadron colliders (HHC), such as the high-luminosity LHC (HL-LHC) and the future circular collider−hadron−hadron (FCC-hh). The authors then explore several AI techniques analyses designed specifically for both image and point-cloud (PC) data in HEP. Additionally, a closer look is taken at the classification associated with Jet tagging in hadron collisions. In this review, various state-of-the-art (SOTA) techniques in ML and DL are examined, with a focus on their implications for HEP demands. More precisely, this discussion addresses various applications in extensive detail, such as Jet tagging, Jet tracking, and particle classification. The review concludes with an analysis of the current state of HEP using DL methodologies. It highlights the challenges and potential areas for future research, which are illustrated for each application.

  • Revolutionizing the Life Sciences by Developing a Holographic Digital Mannequin
    [Author(id=1162119815798252357, tenantId=1045748351789510663, journalId=1155139928190095384, articleId=1159857667638354267, orderNo=0, firstName=null, middleName=null, lastName=null, nameCn=null, orcid=null, stid=null, country=null, authorPic=null, dead=0, email=null, emailSecond=null, emailThird=null, correspondingAuthor=0, authorType=1, ext={EN=AuthorExt(id=1162119816028939093, tenantId=1045748351789510663, journalId=1155139928190095384, articleId=1159857667638354267, authorId=1162119815798252357, language=EN, stringName=Bin Cong, firstName=Bin, middleName=null, lastName=Cong, prefix=null, suffix=null, authorComment=null, nameInitials=null, affiliation=null, department=null, xref=a, b, g, address=aHebei Key Laboratory of Forensic Medicine, College of Forensic Medicine, Hebei Medical University, Shijiazhuang 050017, China
    bCollege of Integrated Traditional Chinese and Western Medicine, Hebei Medical University, Shijiazhuang 050017, China
    gResearch Unit of Digestive Tract Microecosystem Pharmacology and Toxicology, Chinese Academy of Medical Sciences, Shijiazhuang 050017, China, bio=null, bioImg=null, bioContent=null, aboutCorrespAuthor=null), CN=AuthorExt(id=1162119816150573914, tenantId=1045748351789510663, journalId=1155139928190095384, articleId=1159857667638354267, authorId=1162119815798252357, language=CN, stringName=丛斌, firstName=null, middleName=null, lastName=null, prefix=null, suffix=null, authorComment=null, nameInitials=null, affiliation=null, department=null, xref=a, b, g, address=aHebei Key Laboratory of Forensic Medicine, College of Forensic Medicine, Hebei Medical University, Shijiazhuang 050017, China
    bCollege of Integrated Traditional Chinese and Western Medicine, Hebei Medical University, Shijiazhuang 050017, China
    gResearch Unit of Digestive Tract Microecosystem Pharmacology and Toxicology, Chinese Academy of Medical Sciences, Shijiazhuang 050017, China, bio=null, bioImg=null, bioContent=null, aboutCorrespAuthor=null)}, companyList=null), Author(id=1162119816263820130, tenantId=1045748351789510663, journalId=1155139928190095384, articleId=1159857667638354267, orderNo=1, firstName=null, middleName=null, lastName=null, nameCn=null, orcid=null, stid=null, country=null, authorPic=null, dead=0, email=null, emailSecond=null, emailThird=null, correspondingAuthor=0, authorType=1, ext={EN=AuthorExt(id=1162119816414815083, tenantId=1045748351789510663, journalId=1155139928190095384, articleId=1159857667638354267, authorId=1162119816263820130, language=EN, stringName=Xin-An Liu, firstName=Xin-An, middleName=null, lastName=Liu, prefix=null, suffix=null, authorComment=null, nameInitials=null, affiliation=null, department=null, xref=c, address=cCAS Key Laboratory of Brain Connectome and Manipulation, Shenzhen-Hong Kong Institute of Brain Science, Shenzhen Institute of Advanced Technology, Chinese Academy of Sciences, Shenzhen 518055, China, bio=null, bioImg=null, bioContent=null, aboutCorrespAuthor=null), CN=AuthorExt(id=1162119816532255600, tenantId=1045748351789510663, journalId=1155139928190095384, articleId=1159857667638354267, authorId=1162119816263820130, language=CN, stringName=刘欣安, firstName=null, middleName=null, lastName=null, prefix=null, suffix=null, authorComment=null, nameInitials=null, affiliation=null, department=null, xref=c, address=cCAS Key Laboratory of Brain Connectome and Manipulation, Shenzhen-Hong Kong Institute of Brain Science, Shenzhen Institute of Advanced Technology, Chinese Academy of Sciences, Shenzhen 518055, China, bio=null, bioImg=null, bioContent=null, aboutCorrespAuthor=null)}, companyList=null), Author(id=1162119816645501813, tenantId=1045748351789510663, journalId=1155139928190095384, articleId=1159857667638354267, orderNo=2, firstName=null, middleName=null, lastName=null, nameCn=null, orcid=null, stid=null, country=null, authorPic=null, dead=0, email=null, emailSecond=null, emailThird=null, correspondingAuthor=0, authorType=1, ext={EN=AuthorExt(id=1162119816792302463, tenantId=1045748351789510663, journalId=1155139928190095384, articleId=1159857667638354267, authorId=1162119816645501813, language=EN, stringName=Shiming Zhang, firstName=Shiming, middleName=null, lastName=Zhang, prefix=null, suffix=null, authorComment=null, nameInitials=null, affiliation=null, department=null, xref=d, address=dInstitute of Data Intelligence, Bigmath (Shenzhen) Technology Co., Ltd., Shenzhen 518063, China, bio=null, bioImg=null, bioContent=null, aboutCorrespAuthor=null), CN=AuthorExt(id=1162119816909742979, tenantId=1045748351789510663, journalId=1155139928190095384, articleId=1159857667638354267, authorId=1162119816645501813, language=CN, stringName=张世明, firstName=null, middleName=null, lastName=null, prefix=null, suffix=null, authorComment=null, nameInitials=null, affiliation=null, department=null, xref=d, address=dInstitute of Data Intelligence, Bigmath (Shenzhen) Technology Co., Ltd., Shenzhen 518063, China, bio=null, bioImg=null, bioContent=null, aboutCorrespAuthor=null)}, companyList=null), Author(id=1162119817022989197, tenantId=1045748351789510663, journalId=1155139928190095384, articleId=1159857667638354267, orderNo=3, firstName=null, middleName=null, lastName=null, nameCn=null, orcid=null, stid=null, country=null, authorPic=null, dead=0, email=null, emailSecond=null, emailThird=null, correspondingAuthor=0, authorType=1, ext={EN=AuthorExt(id=1162119817173984147, tenantId=1045748351789510663, journalId=1155139928190095384, articleId=1159857667638354267, authorId=1162119817022989197, language=EN, stringName=Zhiyu Ni, firstName=Zhiyu, middleName=null, lastName=Ni, prefix=null, suffix=null, authorComment=null, nameInitials=null, affiliation=null, department=null, xref=e, address=eSchool of Basic Medical Sciences, Hebei University, Baoding 071000, China, bio=null, bioImg=null, bioContent=null, aboutCorrespAuthor=null), CN=AuthorExt(id=1162119817291424663, tenantId=1045748351789510663, journalId=1155139928190095384, articleId=1159857667638354267, authorId=1162119817022989197, language=CN, stringName=倪志宇, firstName=null, middleName=null, lastName=null, prefix=null, suffix=null, authorComment=null, nameInitials=null, affiliation=null, department=null, xref=e, address=eSchool of Basic Medical Sciences, Hebei University, Baoding 071000, China, bio=null, bioImg=null, bioContent=null, aboutCorrespAuthor=null)}, companyList=null), Author(id=1162119817404670877, tenantId=1045748351789510663, journalId=1155139928190095384, articleId=1159857667638354267, orderNo=4, firstName=null, middleName=null, lastName=null, nameCn=null, orcid=null, stid=null, country=null, authorPic=null, dead=0, email=null, emailSecond=null, emailThird=null, correspondingAuthor=0, authorType=1, ext={EN=AuthorExt(id=1162119817593414565, tenantId=1045748351789510663, journalId=1155139928190095384, articleId=1159857667638354267, authorId=1162119817404670877, language=EN, stringName=Liping Wang, firstName=Liping, middleName=null, lastName=Wang, prefix=null, suffix=null, authorComment=null, nameInitials=null, affiliation=null, department=null, xref=c, f, address=cCAS Key Laboratory of Brain Connectome and Manipulation, Shenzhen-Hong Kong Institute of Brain Science, Shenzhen Institute of Advanced Technology, Chinese Academy of Sciences, Shenzhen 518055, China
    fGuangdong Provincial Key Laboratory of Brain Connectome and Behavior, the Brain Cognition and Brain Disease Institute, Shenzhen Institute of Advanced Technology, Chinese Academy of Sciences, Shenzhen 518055, China, bio=null, bioImg=null, bioContent=null, aboutCorrespAuthor=null), CN=AuthorExt(id=1162119817706660780, tenantId=1045748351789510663, journalId=1155139928190095384, articleId=1159857667638354267, authorId=1162119817404670877, language=CN, stringName=王立平, firstName=null, middleName=null, lastName=null, prefix=null, suffix=null, authorComment=null, nameInitials=null, affiliation=null, department=null, xref=c, f, address=cCAS Key Laboratory of Brain Connectome and Manipulation, Shenzhen-Hong Kong Institute of Brain Science, Shenzhen Institute of Advanced Technology, Chinese Academy of Sciences, Shenzhen 518055, China
    fGuangdong Provincial Key Laboratory of Brain Connectome and Behavior, the Brain Cognition and Brain Disease Institute, Shenzhen Institute of Advanced Technology, Chinese Academy of Sciences, Shenzhen 518055, China, bio=null, bioImg=null, bioContent=null, aboutCorrespAuthor=null)}, companyList=null)]
    Bin Cong , Xin-An Liu , Shiming Zhang , Zhiyu Ni , Liping Wang

    Nowadays, there has been a growing trend in the field of high-energy physics (HEP), in both its experimental and phenomenological studies, to incorporate machine learning (ML) and its specialized branch, deep learning (DL). This review paper provides a thorough illustration of these applications using different ML and DL approaches. The first part of the paper examines the basics of various particle physics types and establishes guidelines for assessing particle physics alongside the available learning models. Next, a detailed classification is provided for representing Jets that are reconstructed in high-energy collisions, mainly in proton-proton collisions at well-defined beam energies. This section covers various datasets, preprocessing techniques, and feature extraction and selection methods. The presented techniques can be applied to future hadron−hadron colliders (HHC), such as the high-luminosity LHC (HL-LHC) and the future circular collider−hadron−hadron (FCC-hh). The authors then explore several AI techniques analyses designed specifically for both image and point-cloud (PC) data in HEP. Additionally, a closer look is taken at the classification associated with Jet tagging in hadron collisions. In this review, various state-of-the-art (SOTA) techniques in ML and DL are examined, with a focus on their implications for HEP demands. More precisely, this discussion addresses various applications in extensive detail, such as Jet tagging, Jet tracking, and particle classification. The review concludes with an analysis of the current state of HEP using DL methodologies. It highlights the challenges and potential areas for future research, which are illustrated for each application.

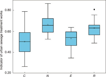
  • Establishing an Assessment Index System for Sewage Treatment Works in China
    [Author(id=1162119409412137265, tenantId=1045748351789510663, journalId=1155139928190095384, articleId=1159850056507515472, orderNo=0, firstName=null, middleName=null, lastName=null, nameCn=null, orcid=null, stid=null, country=null, authorPic=null, dead=0, email=null, emailSecond=null, emailThird=null, correspondingAuthor=0, authorType=1, ext={EN=AuthorExt(id=1162119409663795531, tenantId=1045748351789510663, journalId=1155139928190095384, articleId=1159850056507515472, authorId=1162119409412137265, language=EN, stringName=Zuxin Xu, firstName=Zuxin, middleName=null, lastName=Xu, prefix=null, suffix=null, authorComment=null, nameInitials=null, affiliation=null, department=null, xref=a, b, c, address=aState Key Laboratory of Pollution Control and Resource Reuse, College of Environmental Science and Engineering, Tongji University, Shanghai 200092, China
    bKey Laboratory of Yangtze River Water Environment, Ministry of Education, Tongji University, Shanghai 200092, China
    cShanghai Institute of Pollution Control and Ecological Security, Shanghai 200092, China, bio=null, bioImg=null, bioContent=null, aboutCorrespAuthor=null), CN=AuthorExt(id=1162119409789624663, tenantId=1045748351789510663, journalId=1155139928190095384, articleId=1159850056507515472, authorId=1162119409412137265, language=CN, stringName=徐祖信, firstName=null, middleName=null, lastName=null, prefix=null, suffix=null, authorComment=null, nameInitials=null, affiliation=null, department=null, xref=a, b, c, address=aState Key Laboratory of Pollution Control and Resource Reuse, College of Environmental Science and Engineering, Tongji University, Shanghai 200092, China
    bKey Laboratory of Yangtze River Water Environment, Ministry of Education, Tongji University, Shanghai 200092, China
    cShanghai Institute of Pollution Control and Ecological Security, Shanghai 200092, China, bio=null, bioImg=null, bioContent=null, aboutCorrespAuthor=null)}, companyList=null), Author(id=1162119409915453795, tenantId=1045748351789510663, journalId=1155139928190095384, articleId=1159850056507515472, orderNo=1, firstName=null, middleName=null, lastName=null, nameCn=null, orcid=null, stid=null, country=null, authorPic=null, dead=0, email=null, emailSecond=null, emailThird=null, correspondingAuthor=0, authorType=1, ext={EN=AuthorExt(id=1162119410154529144, tenantId=1045748351789510663, journalId=1155139928190095384, articleId=1159850056507515472, authorId=1162119409915453795, language=EN, stringName=Jin Xu, firstName=Jin, middleName=null, lastName=Xu, prefix=null, suffix=null, authorComment=null, nameInitials=null, affiliation=null, department=null, xref=a, b, c, address=aState Key Laboratory of Pollution Control and Resource Reuse, College of Environmental Science and Engineering, Tongji University, Shanghai 200092, China
    bKey Laboratory of Yangtze River Water Environment, Ministry of Education, Tongji University, Shanghai 200092, China
    cShanghai Institute of Pollution Control and Ecological Security, Shanghai 200092, China, bio=null, bioImg=null, bioContent=null, aboutCorrespAuthor=null), CN=AuthorExt(id=1162119410280358275, tenantId=1045748351789510663, journalId=1155139928190095384, articleId=1159850056507515472, authorId=1162119409915453795, language=CN, stringName=徐晋, firstName=null, middleName=null, lastName=null, prefix=null, suffix=null, authorComment=null, nameInitials=null, affiliation=null, department=null, xref=a, b, c, address=aState Key Laboratory of Pollution Control and Resource Reuse, College of Environmental Science and Engineering, Tongji University, Shanghai 200092, China
    bKey Laboratory of Yangtze River Water Environment, Ministry of Education, Tongji University, Shanghai 200092, China
    cShanghai Institute of Pollution Control and Ecological Security, Shanghai 200092, China, bio=null, bioImg=null, bioContent=null, aboutCorrespAuthor=null)}, companyList=null)]
    Zuxin Xu , Jin Xu

    Nowadays, there has been a growing trend in the field of high-energy physics (HEP), in both its experimental and phenomenological studies, to incorporate machine learning (ML) and its specialized branch, deep learning (DL). This review paper provides a thorough illustration of these applications using different ML and DL approaches. The first part of the paper examines the basics of various particle physics types and establishes guidelines for assessing particle physics alongside the available learning models. Next, a detailed classification is provided for representing Jets that are reconstructed in high-energy collisions, mainly in proton-proton collisions at well-defined beam energies. This section covers various datasets, preprocessing techniques, and feature extraction and selection methods. The presented techniques can be applied to future hadron−hadron colliders (HHC), such as the high-luminosity LHC (HL-LHC) and the future circular collider−hadron−hadron (FCC-hh). The authors then explore several AI techniques analyses designed specifically for both image and point-cloud (PC) data in HEP. Additionally, a closer look is taken at the classification associated with Jet tagging in hadron collisions. In this review, various state-of-the-art (SOTA) techniques in ML and DL are examined, with a focus on their implications for HEP demands. More precisely, this discussion addresses various applications in extensive detail, such as Jet tagging, Jet tracking, and particle classification. The review concludes with an analysis of the current state of HEP using DL methodologies. It highlights the challenges and potential areas for future research, which are illustrated for each application.

  • Research
  • Perspective
    Active Machine Learning for Chemical Engineers: A Bright Future Lies Ahead!
    [Author(id=1162119881661407477, tenantId=1045748351789510663, journalId=1155139928190095384, articleId=1159858621553107441, orderNo=0, firstName=null, middleName=null, lastName=null, nameCn=null, orcid=null, stid=null, country=null, authorPic=null, dead=0, email=null, emailSecond=null, emailThird=null, correspondingAuthor=0, authorType=1, ext={EN=AuthorExt(id=1162119881820791034, tenantId=1045748351789510663, journalId=1155139928190095384, articleId=1159858621553107441, authorId=1162119881661407477, language=EN, stringName=Yannick Ureel, firstName=Yannick, middleName=null, lastName=Ureel, prefix=null, suffix=null, authorComment=null, nameInitials=null, affiliation=null, department=null, xref=null, address=Laboratory for Chemical Technology, Department of Materials, Textiles and Chemical Engineering, Ghent University, Ghent 9052, Belgium, bio=null, bioImg=null, bioContent=null, aboutCorrespAuthor=null), CN=AuthorExt(id=1162119881934037247, tenantId=1045748351789510663, journalId=1155139928190095384, articleId=1159858621553107441, authorId=1162119881661407477, language=CN, stringName=Yannick Ureel, firstName=null, middleName=null, lastName=null, prefix=null, suffix=null, authorComment=null, nameInitials=null, affiliation=null, department=null, xref=null, address=Laboratory for Chemical Technology, Department of Materials, Textiles and Chemical Engineering, Ghent University, Ghent 9052, Belgium, bio=null, bioImg=null, bioContent=null, aboutCorrespAuthor=null)}, companyList=null), Author(id=1162119882047283458, tenantId=1045748351789510663, journalId=1155139928190095384, articleId=1159858621553107441, orderNo=1, firstName=null, middleName=null, lastName=null, nameCn=null, orcid=null, stid=null, country=null, authorPic=null, dead=0, email=null, emailSecond=null, emailThird=null, correspondingAuthor=0, authorType=1, ext={EN=AuthorExt(id=1162119882215055621, tenantId=1045748351789510663, journalId=1155139928190095384, articleId=1159858621553107441, authorId=1162119882047283458, language=EN, stringName=Maarten R. Dobbelaere, firstName=Maarten, middleName=null, lastName=R. Dobbelaere, prefix=null, suffix=null, authorComment=null, nameInitials=null, affiliation=null, department=null, xref=null, address=Laboratory for Chemical Technology, Department of Materials, Textiles and Chemical Engineering, Ghent University, Ghent 9052, Belgium, bio=null, bioImg=null, bioContent=null, aboutCorrespAuthor=null), CN=AuthorExt(id=1162119882315718919, tenantId=1045748351789510663, journalId=1155139928190095384, articleId=1159858621553107441, authorId=1162119882047283458, language=CN, stringName=Maarten R. Dobbelaere, firstName=null, middleName=null, lastName=null, prefix=null, suffix=null, authorComment=null, nameInitials=null, affiliation=null, department=null, xref=null, address=Laboratory for Chemical Technology, Department of Materials, Textiles and Chemical Engineering, Ghent University, Ghent 9052, Belgium, bio=null, bioImg=null, bioContent=null, aboutCorrespAuthor=null)}, companyList=null), Author(id=1162119882475102474, tenantId=1045748351789510663, journalId=1155139928190095384, articleId=1159858621553107441, orderNo=2, firstName=null, middleName=null, lastName=null, nameCn=null, orcid=null, stid=null, country=null, authorPic=null, dead=0, email=null, emailSecond=null, emailThird=null, correspondingAuthor=0, authorType=1, ext={EN=AuthorExt(id=1162119882642874639, tenantId=1045748351789510663, journalId=1155139928190095384, articleId=1159858621553107441, authorId=1162119882475102474, language=EN, stringName=Yi Ouyang, firstName=Yi, middleName=null, lastName=Ouyang, prefix=null, suffix=null, authorComment=null, nameInitials=null, affiliation=null, department=null, xref=null, address=Laboratory for Chemical Technology, Department of Materials, Textiles and Chemical Engineering, Ghent University, Ghent 9052, Belgium, bio=null, bioImg=null, bioContent=null, aboutCorrespAuthor=null), CN=AuthorExt(id=1162119882772898068, tenantId=1045748351789510663, journalId=1155139928190095384, articleId=1159858621553107441, authorId=1162119882475102474, language=CN, stringName=Yi Ouyang, firstName=null, middleName=null, lastName=null, prefix=null, suffix=null, authorComment=null, nameInitials=null, affiliation=null, department=null, xref=null, address=Laboratory for Chemical Technology, Department of Materials, Textiles and Chemical Engineering, Ghent University, Ghent 9052, Belgium, bio=null, bioImg=null, bioContent=null, aboutCorrespAuthor=null)}, companyList=null), Author(id=1162119882894532887, tenantId=1045748351789510663, journalId=1155139928190095384, articleId=1159858621553107441, orderNo=3, firstName=null, middleName=null, lastName=null, nameCn=null, orcid=null, stid=null, country=null, authorPic=null, dead=0, email=null, emailSecond=null, emailThird=null, correspondingAuthor=0, authorType=1, ext={EN=AuthorExt(id=1162119883066499355, tenantId=1045748351789510663, journalId=1155139928190095384, articleId=1159858621553107441, authorId=1162119882894532887, language=EN, stringName=Kevin De Ras, firstName=Kevin, middleName=null, lastName=De Ras, prefix=null, suffix=null, authorComment=null, nameInitials=null, affiliation=null, department=null, xref=null, address=Laboratory for Chemical Technology, Department of Materials, Textiles and Chemical Engineering, Ghent University, Ghent 9052, Belgium, bio=null, bioImg=null, bioContent=null, aboutCorrespAuthor=null), CN=AuthorExt(id=1162119883188134173, tenantId=1045748351789510663, journalId=1155139928190095384, articleId=1159858621553107441, authorId=1162119882894532887, language=CN, stringName=Kevin De Ras, firstName=null, middleName=null, lastName=null, prefix=null, suffix=null, authorComment=null, nameInitials=null, affiliation=null, department=null, xref=null, address=Laboratory for Chemical Technology, Department of Materials, Textiles and Chemical Engineering, Ghent University, Ghent 9052, Belgium, bio=null, bioImg=null, bioContent=null, aboutCorrespAuthor=null)}, companyList=null), Author(id=1162119883313963296, tenantId=1045748351789510663, journalId=1155139928190095384, articleId=1159858621553107441, orderNo=4, firstName=null, middleName=null, lastName=null, nameCn=null, orcid=null, stid=null, country=null, authorPic=null, dead=0, email=null, emailSecond=null, emailThird=null, correspondingAuthor=0, authorType=1, ext={EN=AuthorExt(id=1162119883481735459, tenantId=1045748351789510663, journalId=1155139928190095384, articleId=1159858621553107441, authorId=1162119883313963296, language=EN, stringName=Maarten K. Sabbe, firstName=Maarten, middleName=null, lastName=K. Sabbe, prefix=null, suffix=null, authorComment=null, nameInitials=null, affiliation=null, department=null, xref=null, address=Laboratory for Chemical Technology, Department of Materials, Textiles and Chemical Engineering, Ghent University, Ghent 9052, Belgium, bio=null, bioImg=null, bioContent=null, aboutCorrespAuthor=null), CN=AuthorExt(id=1162119883607564582, tenantId=1045748351789510663, journalId=1155139928190095384, articleId=1159858621553107441, authorId=1162119883313963296, language=CN, stringName=Maarten K. Sabbe, firstName=null, middleName=null, lastName=null, prefix=null, suffix=null, authorComment=null, nameInitials=null, affiliation=null, department=null, xref=null, address=Laboratory for Chemical Technology, Department of Materials, Textiles and Chemical Engineering, Ghent University, Ghent 9052, Belgium, bio=null, bioImg=null, bioContent=null, aboutCorrespAuthor=null)}, companyList=null), Author(id=1162119883712422184, tenantId=1045748351789510663, journalId=1155139928190095384, articleId=1159858621553107441, orderNo=5, firstName=null, middleName=null, lastName=null, nameCn=null, orcid=null, stid=null, country=null, authorPic=null, dead=0, email=null, emailSecond=null, emailThird=null, correspondingAuthor=0, authorType=1, ext={EN=AuthorExt(id=1162119883863417130, tenantId=1045748351789510663, journalId=1155139928190095384, articleId=1159858621553107441, authorId=1162119883712422184, language=EN, stringName=Guy B. Marin, firstName=Guy, middleName=null, lastName=B. Marin, prefix=null, suffix=null, authorComment=null, nameInitials=null, affiliation=null, department=null, xref=null, address=Laboratory for Chemical Technology, Department of Materials, Textiles and Chemical Engineering, Ghent University, Ghent 9052, Belgium, bio=null, bioImg=null, bioContent=null, aboutCorrespAuthor=null), CN=AuthorExt(id=1162119884081520939, tenantId=1045748351789510663, journalId=1155139928190095384, articleId=1159858621553107441, authorId=1162119883712422184, language=CN, stringName=Guy B. Marin, firstName=null, middleName=null, lastName=null, prefix=null, suffix=null, authorComment=null, nameInitials=null, affiliation=null, department=null, xref=null, address=Laboratory for Chemical Technology, Department of Materials, Textiles and Chemical Engineering, Ghent University, Ghent 9052, Belgium, bio=null, bioImg=null, bioContent=null, aboutCorrespAuthor=null)}, companyList=null), Author(id=1162119884198961454, tenantId=1045748351789510663, journalId=1155139928190095384, articleId=1159858621553107441, orderNo=6, firstName=null, middleName=null, lastName=null, nameCn=null, orcid=null, stid=null, country=null, authorPic=null, dead=0, email=Kevin.VanGeem@UGent.be, emailSecond=null, emailThird=null, correspondingAuthor=1, authorType=1, ext={EN=AuthorExt(id=1162119884349956400, tenantId=1045748351789510663, journalId=1155139928190095384, articleId=1159858621553107441, authorId=1162119884198961454, language=EN, stringName=Kevin M. Van Geem, firstName=Kevin, middleName=null, lastName=M. Van Geem, prefix=null, suffix=null, authorComment=null, nameInitials=null, affiliation=null, department=null, xref=*, address=Laboratory for Chemical Technology, Department of Materials, Textiles and Chemical Engineering, Ghent University, Ghent 9052, Belgium, bio=null, bioImg=null, bioContent=null, aboutCorrespAuthor=null), CN=AuthorExt(id=1162119884463202612, tenantId=1045748351789510663, journalId=1155139928190095384, articleId=1159858621553107441, authorId=1162119884198961454, language=CN, stringName=Kevin M. Van Geem, firstName=null, middleName=null, lastName=null, prefix=null, suffix=null, authorComment=null, nameInitials=null, affiliation=null, department=null, xref=*, address=Laboratory for Chemical Technology, Department of Materials, Textiles and Chemical Engineering, Ghent University, Ghent 9052, Belgium, bio=null, bioImg=null, bioContent=null, aboutCorrespAuthor=null)}, companyList=null)] Yannick Ureel , Maarten R. Dobbelaere , Yi Ouyang , Kevin De Ras , Maarten K. Sabbe , Guy B. Marin , Kevin M. Van Geem

    Nowadays, there has been a growing trend in the field of high-energy physics (HEP), in both its experimental and phenomenological studies, to incorporate machine learning (ML) and its specialized branch, deep learning (DL). This review paper provides a thorough illustration of these applications using different ML and DL approaches. The first part of the paper examines the basics of various particle physics types and establishes guidelines for assessing particle physics alongside the available learning models. Next, a detailed classification is provided for representing Jets that are reconstructed in high-energy collisions, mainly in proton-proton collisions at well-defined beam energies. This section covers various datasets, preprocessing techniques, and feature extraction and selection methods. The presented techniques can be applied to future hadron−hadron colliders (HHC), such as the high-luminosity LHC (HL-LHC) and the future circular collider−hadron−hadron (FCC-hh). The authors then explore several AI techniques analyses designed specifically for both image and point-cloud (PC) data in HEP. Additionally, a closer look is taken at the classification associated with Jet tagging in hadron collisions. In this review, various state-of-the-art (SOTA) techniques in ML and DL are examined, with a focus on their implications for HEP demands. More precisely, this discussion addresses various applications in extensive detail, such as Jet tagging, Jet tracking, and particle classification. The review concludes with an analysis of the current state of HEP using DL methodologies. It highlights the challenges and potential areas for future research, which are illustrated for each application.

  • Perspective
    An Intelligent Manufacturing Platform of Polymers: Polymeric Material Genome Engineering
    [Author(id=1162119878536650929, tenantId=1045748351789510663, journalId=1155139928190095384, articleId=1159858615450395115, orderNo=0, firstName=null, middleName=null, lastName=null, nameCn=null, orcid=null, stid=null, country=null, authorPic=null, dead=0, email=null, emailSecond=null, emailThird=null, correspondingAuthor=0, authorType=1, ext={EN=AuthorExt(id=1162119878691840179, tenantId=1045748351789510663, journalId=1155139928190095384, articleId=1159858615450395115, authorId=1162119878536650929, language=EN, stringName=Liang Gao, firstName=Liang, middleName=null, lastName=Gao, prefix=null, suffix=null, authorComment=null, nameInitials=null, affiliation=null, department=null, xref=null, address=Shanghai Key Laboratory of Advanced Polymeric Materials, Key Laboratory for Ultrafine Materials of Ministry of Education, Frontiers Science Center for Materiobiology and Dynamic Chemistry, School of Materials Science and Engineering, East China University of Science and Technology, Shanghai 200237, China, bio=null, bioImg=null, bioContent=null, aboutCorrespAuthor=null), CN=AuthorExt(id=1162119878813475003, tenantId=1045748351789510663, journalId=1155139928190095384, articleId=1159858615450395115, authorId=1162119878536650929, language=CN, stringName=高梁, firstName=null, middleName=null, lastName=null, prefix=null, suffix=null, authorComment=null, nameInitials=null, affiliation=null, department=null, xref=null, address=Shanghai Key Laboratory of Advanced Polymeric Materials, Key Laboratory for Ultrafine Materials of Ministry of Education, Frontiers Science Center for Materiobiology and Dynamic Chemistry, School of Materials Science and Engineering, East China University of Science and Technology, Shanghai 200237, China, bio=null, bioImg=null, bioContent=null, aboutCorrespAuthor=null)}, companyList=null), Author(id=1162119878930915519, tenantId=1045748351789510663, journalId=1155139928190095384, articleId=1159858615450395115, orderNo=1, firstName=null, middleName=null, lastName=null, nameCn=null, orcid=null, stid=null, country=null, authorPic=null, dead=0, email=null, emailSecond=null, emailThird=null, correspondingAuthor=0, authorType=1, ext={EN=AuthorExt(id=1162119879094493377, tenantId=1045748351789510663, journalId=1155139928190095384, articleId=1159858615450395115, authorId=1162119878930915519, language=EN, stringName=Liquan Wang, firstName=Liquan, middleName=null, lastName=Wang, prefix=null, suffix=null, authorComment=null, nameInitials=null, affiliation=null, department=null, xref=null, address=Shanghai Key Laboratory of Advanced Polymeric Materials, Key Laboratory for Ultrafine Materials of Ministry of Education, Frontiers Science Center for Materiobiology and Dynamic Chemistry, School of Materials Science and Engineering, East China University of Science and Technology, Shanghai 200237, China, bio=null, bioImg=null, bioContent=null, aboutCorrespAuthor=null), CN=AuthorExt(id=1162119879199350981, tenantId=1045748351789510663, journalId=1155139928190095384, articleId=1159858615450395115, authorId=1162119878930915519, language=CN, stringName=王立权, firstName=null, middleName=null, lastName=null, prefix=null, suffix=null, authorComment=null, nameInitials=null, affiliation=null, department=null, xref=null, address=Shanghai Key Laboratory of Advanced Polymeric Materials, Key Laboratory for Ultrafine Materials of Ministry of Education, Frontiers Science Center for Materiobiology and Dynamic Chemistry, School of Materials Science and Engineering, East China University of Science and Technology, Shanghai 200237, China, bio=null, bioImg=null, bioContent=null, aboutCorrespAuthor=null)}, companyList=null), Author(id=1162119879341957319, tenantId=1045748351789510663, journalId=1155139928190095384, articleId=1159858615450395115, orderNo=2, firstName=null, middleName=null, lastName=null, nameCn=null, orcid=null, stid=null, country=null, authorPic=null, dead=0, email=jlin@ecust.edu.cn, emailSecond=null, emailThird=null, correspondingAuthor=1, authorType=1, ext={EN=AuthorExt(id=1162119879518118092, tenantId=1045748351789510663, journalId=1155139928190095384, articleId=1159858615450395115, authorId=1162119879341957319, language=EN, stringName=Jiaping Lin, firstName=Jiaping, middleName=null, lastName=Lin, prefix=null, suffix=null, authorComment=null, nameInitials=null, affiliation=null, department=null, xref=*, address=Shanghai Key Laboratory of Advanced Polymeric Materials, Key Laboratory for Ultrafine Materials of Ministry of Education, Frontiers Science Center for Materiobiology and Dynamic Chemistry, School of Materials Science and Engineering, East China University of Science and Technology, Shanghai 200237, China, bio=null, bioImg=null, bioContent=null, aboutCorrespAuthor=null), CN=AuthorExt(id=1162119879643947214, tenantId=1045748351789510663, journalId=1155139928190095384, articleId=1159858615450395115, authorId=1162119879341957319, language=CN, stringName=林嘉平, firstName=null, middleName=null, lastName=null, prefix=null, suffix=null, authorComment=null, nameInitials=null, affiliation=null, department=null, xref=*, address=Shanghai Key Laboratory of Advanced Polymeric Materials, Key Laboratory for Ultrafine Materials of Ministry of Education, Frontiers Science Center for Materiobiology and Dynamic Chemistry, School of Materials Science and Engineering, East China University of Science and Technology, Shanghai 200237, China, bio=null, bioImg=null, bioContent=null, aboutCorrespAuthor=null)}, companyList=null), Author(id=1162119879769776340, tenantId=1045748351789510663, journalId=1155139928190095384, articleId=1159858615450395115, orderNo=3, firstName=null, middleName=null, lastName=null, nameCn=null, orcid=null, stid=null, country=null, authorPic=null, dead=0, email=null, emailSecond=null, emailThird=null, correspondingAuthor=0, authorType=1, ext={EN=AuthorExt(id=1162119879945937111, tenantId=1045748351789510663, journalId=1155139928190095384, articleId=1159858615450395115, authorId=1162119879769776340, language=EN, stringName=Lei Du, firstName=Lei, middleName=null, lastName=Du, prefix=null, suffix=null, authorComment=null, nameInitials=null, affiliation=null, department=null, xref=null, address=Shanghai Key Laboratory of Advanced Polymeric Materials, Key Laboratory for Ultrafine Materials of Ministry of Education, Frontiers Science Center for Materiobiology and Dynamic Chemistry, School of Materials Science and Engineering, East China University of Science and Technology, Shanghai 200237, China, bio=null, bioImg=null, bioContent=null, aboutCorrespAuthor=null), CN=AuthorExt(id=1162119880080154840, tenantId=1045748351789510663, journalId=1155139928190095384, articleId=1159858615450395115, authorId=1162119879769776340, language=CN, stringName=杜磊, firstName=null, middleName=null, lastName=null, prefix=null, suffix=null, authorComment=null, nameInitials=null, affiliation=null, department=null, xref=null, address=Shanghai Key Laboratory of Advanced Polymeric Materials, Key Laboratory for Ultrafine Materials of Ministry of Education, Frontiers Science Center for Materiobiology and Dynamic Chemistry, School of Materials Science and Engineering, East China University of Science and Technology, Shanghai 200237, China, bio=null, bioImg=null, bioContent=null, aboutCorrespAuthor=null)}, companyList=null)] Liang Gao , Liquan Wang , Jiaping Lin , Lei Du

    Nowadays, there has been a growing trend in the field of high-energy physics (HEP), in both its experimental and phenomenological studies, to incorporate machine learning (ML) and its specialized branch, deep learning (DL). This review paper provides a thorough illustration of these applications using different ML and DL approaches. The first part of the paper examines the basics of various particle physics types and establishes guidelines for assessing particle physics alongside the available learning models. Next, a detailed classification is provided for representing Jets that are reconstructed in high-energy collisions, mainly in proton-proton collisions at well-defined beam energies. This section covers various datasets, preprocessing techniques, and feature extraction and selection methods. The presented techniques can be applied to future hadron−hadron colliders (HHC), such as the high-luminosity LHC (HL-LHC) and the future circular collider−hadron−hadron (FCC-hh). The authors then explore several AI techniques analyses designed specifically for both image and point-cloud (PC) data in HEP. Additionally, a closer look is taken at the classification associated with Jet tagging in hadron collisions. In this review, various state-of-the-art (SOTA) techniques in ML and DL are examined, with a focus on their implications for HEP demands. More precisely, this discussion addresses various applications in extensive detail, such as Jet tagging, Jet tracking, and particle classification. The review concludes with an analysis of the current state of HEP using DL methodologies. It highlights the challenges and potential areas for future research, which are illustrated for each application.

  • Review
    Artificial Intelligence in Pharmaceutical Sciences
    [Author(id=1162119902104445595, tenantId=1045748351789510663, journalId=1155139928190095384, articleId=1159858649701081638, orderNo=0, firstName=null, middleName=null, lastName=null, nameCn=null, orcid=null, stid=null, country=null, authorPic=null, dead=0, email=null, emailSecond=null, emailThird=null, correspondingAuthor=0, authorType=1, ext={EN=AuthorExt(id=1162119902297383582, tenantId=1045748351789510663, journalId=1155139928190095384, articleId=1159858649701081638, authorId=1162119902104445595, language=EN, stringName=Mingkun Lu, firstName=Mingkun, middleName=null, lastName=Lu, prefix=null, suffix=null, authorComment=null, nameInitials=null, affiliation=null, department=null, xref=a, c, address=aCollege of Pharmaceutical Sciences & The Second Affiliated Hospital, School of Medicine, Zhejiang University, Hangzhou 310058, China
    cInnovation Institute for Artificial Intelligence in Medicine of Zhejiang University, Alibaba-Zhejiang University Joint Research Center of Future Digital Healthcare, Hangzhou 330110, China, bio=null, bioImg=null, bioContent=null, aboutCorrespAuthor=null), CN=AuthorExt(id=1162119902410629791, tenantId=1045748351789510663, journalId=1155139928190095384, articleId=1159858649701081638, authorId=1162119902104445595, language=CN, stringName=路明坤, firstName=null, middleName=null, lastName=null, prefix=null, suffix=null, authorComment=null, nameInitials=null, affiliation=null, department=null, xref=a, c, address=aCollege of Pharmaceutical Sciences & The Second Affiliated Hospital, School of Medicine, Zhejiang University, Hangzhou 310058, China
    cInnovation Institute for Artificial Intelligence in Medicine of Zhejiang University, Alibaba-Zhejiang University Joint Research Center of Future Digital Healthcare, Hangzhou 330110, China, bio=null, bioImg=null, bioContent=null, aboutCorrespAuthor=null)}, companyList=null), Author(id=1162119902528070305, tenantId=1045748351789510663, journalId=1155139928190095384, articleId=1159858649701081638, orderNo=1, firstName=null, middleName=null, lastName=null, nameCn=null, orcid=null, stid=null, country=null, authorPic=null, dead=0, email=null, emailSecond=null, emailThird=null, correspondingAuthor=0, authorType=1, ext={EN=AuthorExt(id=1162119902679065251, tenantId=1045748351789510663, journalId=1155139928190095384, articleId=1159858649701081638, authorId=1162119902528070305, language=EN, stringName=Jiayi Yin, firstName=Jiayi, middleName=null, lastName=Yin, prefix=null, suffix=null, authorComment=null, nameInitials=null, affiliation=null, department=null, xref=a, address=aCollege of Pharmaceutical Sciences & The Second Affiliated Hospital, School of Medicine, Zhejiang University, Hangzhou 310058, China, bio=null, bioImg=null, bioContent=null, aboutCorrespAuthor=null), CN=AuthorExt(id=1162119902796505764, tenantId=1045748351789510663, journalId=1155139928190095384, articleId=1159858649701081638, authorId=1162119902528070305, language=CN, stringName=殷佳依, firstName=null, middleName=null, lastName=null, prefix=null, suffix=null, authorComment=null, nameInitials=null, affiliation=null, department=null, xref=a, address=aCollege of Pharmaceutical Sciences & The Second Affiliated Hospital, School of Medicine, Zhejiang University, Hangzhou 310058, China, bio=null, bioImg=null, bioContent=null, aboutCorrespAuthor=null)}, companyList=null), Author(id=1162119902909751974, tenantId=1045748351789510663, journalId=1155139928190095384, articleId=1159858649701081638, orderNo=2, firstName=null, middleName=null, lastName=null, nameCn=null, orcid=null, stid=null, country=null, authorPic=null, dead=0, email=null, emailSecond=null, emailThird=null, correspondingAuthor=0, authorType=1, ext={EN=AuthorExt(id=1162119903060746920, tenantId=1045748351789510663, journalId=1155139928190095384, articleId=1159858649701081638, authorId=1162119902909751974, language=EN, stringName=Qi Zhu, firstName=Qi, middleName=null, lastName=Zhu, prefix=null, suffix=null, authorComment=null, nameInitials=null, affiliation=null, department=null, xref=a, address=aCollege of Pharmaceutical Sciences & The Second Affiliated Hospital, School of Medicine, Zhejiang University, Hangzhou 310058, China, bio=null, bioImg=null, bioContent=null, aboutCorrespAuthor=null), CN=AuthorExt(id=1162119903178187433, tenantId=1045748351789510663, journalId=1155139928190095384, articleId=1159858649701081638, authorId=1162119902909751974, language=CN, stringName=朱奇, firstName=null, middleName=null, lastName=null, prefix=null, suffix=null, authorComment=null, nameInitials=null, affiliation=null, department=null, xref=a, address=aCollege of Pharmaceutical Sciences & The Second Affiliated Hospital, School of Medicine, Zhejiang University, Hangzhou 310058, China, bio=null, bioImg=null, bioContent=null, aboutCorrespAuthor=null)}, companyList=null), Author(id=1162119903291433643, tenantId=1045748351789510663, journalId=1155139928190095384, articleId=1159858649701081638, orderNo=3, firstName=null, middleName=null, lastName=null, nameCn=null, orcid=null, stid=null, country=null, authorPic=null, dead=0, email=null, emailSecond=null, emailThird=null, correspondingAuthor=0, authorType=1, ext={EN=AuthorExt(id=1162119903446622893, tenantId=1045748351789510663, journalId=1155139928190095384, articleId=1159858649701081638, authorId=1162119903291433643, language=EN, stringName=Gaole Lin, firstName=Gaole, middleName=null, lastName=Lin, prefix=null, suffix=null, authorComment=null, nameInitials=null, affiliation=null, department=null, xref=a, address=aCollege of Pharmaceutical Sciences & The Second Affiliated Hospital, School of Medicine, Zhejiang University, Hangzhou 310058, China, bio=null, bioImg=null, bioContent=null, aboutCorrespAuthor=null), CN=AuthorExt(id=1162119903564063406, tenantId=1045748351789510663, journalId=1155139928190095384, articleId=1159858649701081638, authorId=1162119903291433643, language=CN, stringName=林高乐, firstName=null, middleName=null, lastName=null, prefix=null, suffix=null, authorComment=null, nameInitials=null, affiliation=null, department=null, xref=a, address=aCollege of Pharmaceutical Sciences & The Second Affiliated Hospital, School of Medicine, Zhejiang University, Hangzhou 310058, China, bio=null, bioImg=null, bioContent=null, aboutCorrespAuthor=null)}, companyList=null), Author(id=1162119903681503920, tenantId=1045748351789510663, journalId=1155139928190095384, articleId=1159858649701081638, orderNo=4, firstName=null, middleName=null, lastName=null, nameCn=null, orcid=null, stid=null, country=null, authorPic=null, dead=0, email=null, emailSecond=null, emailThird=null, correspondingAuthor=0, authorType=1, ext={EN=AuthorExt(id=1162119903832498866, tenantId=1045748351789510663, journalId=1155139928190095384, articleId=1159858649701081638, authorId=1162119903681503920, language=EN, stringName=Minjie Mou, firstName=Minjie, middleName=null, lastName=Mou, prefix=null, suffix=null, authorComment=null, nameInitials=null, affiliation=null, department=null, xref=a, address=aCollege of Pharmaceutical Sciences & The Second Affiliated Hospital, School of Medicine, Zhejiang University, Hangzhou 310058, China, bio=null, bioImg=null, bioContent=null, aboutCorrespAuthor=null), CN=AuthorExt(id=1162119903945745075, tenantId=1045748351789510663, journalId=1155139928190095384, articleId=1159858649701081638, authorId=1162119903681503920, language=CN, stringName=牟敏杰, firstName=null, middleName=null, lastName=null, prefix=null, suffix=null, authorComment=null, nameInitials=null, affiliation=null, department=null, xref=a, address=aCollege of Pharmaceutical Sciences & The Second Affiliated Hospital, School of Medicine, Zhejiang University, Hangzhou 310058, China, bio=null, bioImg=null, bioContent=null, aboutCorrespAuthor=null)}, companyList=null), Author(id=1162119904067379893, tenantId=1045748351789510663, journalId=1155139928190095384, articleId=1159858649701081638, orderNo=5, firstName=null, middleName=null, lastName=null, nameCn=null, orcid=null, stid=null, country=null, authorPic=null, dead=0, email=null, emailSecond=null, emailThird=null, correspondingAuthor=0, authorType=1, ext={EN=AuthorExt(id=1162119904218374839, tenantId=1045748351789510663, journalId=1155139928190095384, articleId=1159858649701081638, authorId=1162119904067379893, language=EN, stringName=Fuyao Liu, firstName=Fuyao, middleName=null, lastName=Liu, prefix=null, suffix=null, authorComment=null, nameInitials=null, affiliation=null, department=null, xref=a, address=aCollege of Pharmaceutical Sciences & The Second Affiliated Hospital, School of Medicine, Zhejiang University, Hangzhou 310058, China, bio=null, bioImg=null, bioContent=null, aboutCorrespAuthor=null), CN=AuthorExt(id=1162119904331621048, tenantId=1045748351789510663, journalId=1155139928190095384, articleId=1159858649701081638, authorId=1162119904067379893, language=CN, stringName=柳扶摇, firstName=null, middleName=null, lastName=null, prefix=null, suffix=null, authorComment=null, nameInitials=null, affiliation=null, department=null, xref=a, address=aCollege of Pharmaceutical Sciences & The Second Affiliated Hospital, School of Medicine, Zhejiang University, Hangzhou 310058, China, bio=null, bioImg=null, bioContent=null, aboutCorrespAuthor=null)}, companyList=null), Author(id=1162119904449061562, tenantId=1045748351789510663, journalId=1155139928190095384, articleId=1159858649701081638, orderNo=6, firstName=null, middleName=null, lastName=null, nameCn=null, orcid=null, stid=null, country=null, authorPic=null, dead=0, email=null, emailSecond=null, emailThird=null, correspondingAuthor=0, authorType=1, ext={EN=AuthorExt(id=1162119904600056508, tenantId=1045748351789510663, journalId=1155139928190095384, articleId=1159858649701081638, authorId=1162119904449061562, language=EN, stringName=Ziqi Pan, firstName=Ziqi, middleName=null, lastName=Pan, prefix=null, suffix=null, authorComment=null, nameInitials=null, affiliation=null, department=null, xref=a, address=aCollege of Pharmaceutical Sciences & The Second Affiliated Hospital, School of Medicine, Zhejiang University, Hangzhou 310058, China, bio=null, bioImg=null, bioContent=null, aboutCorrespAuthor=null), CN=AuthorExt(id=1162119904717497021, tenantId=1045748351789510663, journalId=1155139928190095384, articleId=1159858649701081638, authorId=1162119904449061562, language=CN, stringName=潘子祺, firstName=null, middleName=null, lastName=null, prefix=null, suffix=null, authorComment=null, nameInitials=null, affiliation=null, department=null, xref=a, address=aCollege of Pharmaceutical Sciences & The Second Affiliated Hospital, School of Medicine, Zhejiang University, Hangzhou 310058, China, bio=null, bioImg=null, bioContent=null, aboutCorrespAuthor=null)}, companyList=null), Author(id=1162119904830743231, tenantId=1045748351789510663, journalId=1155139928190095384, articleId=1159858649701081638, orderNo=7, firstName=null, middleName=null, lastName=null, nameCn=null, orcid=null, stid=null, country=null, authorPic=null, dead=0, email=null, emailSecond=null, emailThird=null, correspondingAuthor=0, authorType=1, ext={EN=AuthorExt(id=1162119904977543873, tenantId=1045748351789510663, journalId=1155139928190095384, articleId=1159858649701081638, authorId=1162119904830743231, language=EN, stringName=Nanxin You, firstName=Nanxin, middleName=null, lastName=You, prefix=null, suffix=null, authorComment=null, nameInitials=null, affiliation=null, department=null, xref=a, address=aCollege of Pharmaceutical Sciences & The Second Affiliated Hospital, School of Medicine, Zhejiang University, Hangzhou 310058, China, bio=null, bioImg=null, bioContent=null, aboutCorrespAuthor=null), CN=AuthorExt(id=1162119905094984386, tenantId=1045748351789510663, journalId=1155139928190095384, articleId=1159858649701081638, authorId=1162119904830743231, language=CN, stringName=游楠欣, firstName=null, middleName=null, lastName=null, prefix=null, suffix=null, authorComment=null, nameInitials=null, affiliation=null, department=null, xref=a, address=aCollege of Pharmaceutical Sciences & The Second Affiliated Hospital, School of Medicine, Zhejiang University, Hangzhou 310058, China, bio=null, bioImg=null, bioContent=null, aboutCorrespAuthor=null)}, companyList=null), Author(id=1162119905212424900, tenantId=1045748351789510663, journalId=1155139928190095384, articleId=1159858649701081638, orderNo=8, firstName=null, middleName=null, lastName=null, nameCn=null, orcid=null, stid=null, country=null, authorPic=null, dead=0, email=null, emailSecond=null, emailThird=null, correspondingAuthor=0, authorType=1, ext={EN=AuthorExt(id=1162119905363419846, tenantId=1045748351789510663, journalId=1155139928190095384, articleId=1159858649701081638, authorId=1162119905212424900, language=EN, stringName=Xichen Lian, firstName=Xichen, middleName=null, lastName=Lian, prefix=null, suffix=null, authorComment=null, nameInitials=null, affiliation=null, department=null, xref=a, address=aCollege of Pharmaceutical Sciences & The Second Affiliated Hospital, School of Medicine, Zhejiang University, Hangzhou 310058, China, bio=null, bioImg=null, bioContent=null, aboutCorrespAuthor=null), CN=AuthorExt(id=1162119905480860359, tenantId=1045748351789510663, journalId=1155139928190095384, articleId=1159858649701081638, authorId=1162119905212424900, language=CN, stringName=廉希晨, firstName=null, middleName=null, lastName=null, prefix=null, suffix=null, authorComment=null, nameInitials=null, affiliation=null, department=null, xref=a, address=aCollege of Pharmaceutical Sciences & The Second Affiliated Hospital, School of Medicine, Zhejiang University, Hangzhou 310058, China, bio=null, bioImg=null, bioContent=null, aboutCorrespAuthor=null)}, companyList=null), Author(id=1162119905594106569, tenantId=1045748351789510663, journalId=1155139928190095384, articleId=1159858649701081638, orderNo=9, firstName=null, middleName=null, lastName=null, nameCn=null, orcid=null, stid=null, country=null, authorPic=null, dead=0, email=null, emailSecond=null, emailThird=null, correspondingAuthor=0, authorType=1, ext={EN=AuthorExt(id=1162119905749295819, tenantId=1045748351789510663, journalId=1155139928190095384, articleId=1159858649701081638, authorId=1162119905594106569, language=EN, stringName=Fengcheng Li, firstName=Fengcheng, middleName=null, lastName=Li, prefix=null, suffix=null, authorComment=null, nameInitials=null, affiliation=null, department=null, xref=a, address=aCollege of Pharmaceutical Sciences & The Second Affiliated Hospital, School of Medicine, Zhejiang University, Hangzhou 310058, China, bio=null, bioImg=null, bioContent=null, aboutCorrespAuthor=null), CN=AuthorExt(id=1162119905862542028, tenantId=1045748351789510663, journalId=1155139928190095384, articleId=1159858649701081638, authorId=1162119905594106569, language=CN, stringName=李丰成, firstName=null, middleName=null, lastName=null, prefix=null, suffix=null, authorComment=null, nameInitials=null, affiliation=null, department=null, xref=a, address=aCollege of Pharmaceutical Sciences & The Second Affiliated Hospital, School of Medicine, Zhejiang University, Hangzhou 310058, China, bio=null, bioImg=null, bioContent=null, aboutCorrespAuthor=null)}, companyList=null), Author(id=1162119905979982542, tenantId=1045748351789510663, journalId=1155139928190095384, articleId=1159858649701081638, orderNo=10, firstName=null, middleName=null, lastName=null, nameCn=null, orcid=null, stid=null, country=null, authorPic=null, dead=0, email=null, emailSecond=null, emailThird=null, correspondingAuthor=0, authorType=1, ext={EN=AuthorExt(id=1162119906130977488, tenantId=1045748351789510663, journalId=1155139928190095384, articleId=1159858649701081638, authorId=1162119905979982542, language=EN, stringName=Hongning Zhang, firstName=Hongning, middleName=null, lastName=Zhang, prefix=null, suffix=null, authorComment=null, nameInitials=null, affiliation=null, department=null, xref=a, address=aCollege of Pharmaceutical Sciences & The Second Affiliated Hospital, School of Medicine, Zhejiang University, Hangzhou 310058, China, bio=null, bioImg=null, bioContent=null, aboutCorrespAuthor=null), CN=AuthorExt(id=1162119906252612305, tenantId=1045748351789510663, journalId=1155139928190095384, articleId=1159858649701081638, authorId=1162119905979982542, language=CN, stringName=张洪宁, firstName=null, middleName=null, lastName=null, prefix=null, suffix=null, authorComment=null, nameInitials=null, affiliation=null, department=null, xref=a, address=aCollege of Pharmaceutical Sciences & The Second Affiliated Hospital, School of Medicine, Zhejiang University, Hangzhou 310058, China, bio=null, bioImg=null, bioContent=null, aboutCorrespAuthor=null)}, companyList=null), Author(id=1162119906370052819, tenantId=1045748351789510663, journalId=1155139928190095384, articleId=1159858649701081638, orderNo=11, firstName=null, middleName=null, lastName=null, nameCn=null, orcid=null, stid=null, country=null, authorPic=null, dead=0, email=null, emailSecond=null, emailThird=null, correspondingAuthor=0, authorType=1, ext={EN=AuthorExt(id=1162119906558796502, tenantId=1045748351789510663, journalId=1155139928190095384, articleId=1159858649701081638, authorId=1162119906370052819, language=EN, stringName=Lingyan Zheng, firstName=Lingyan, middleName=null, lastName=Zheng, prefix=null, suffix=null, authorComment=null, nameInitials=null, affiliation=null, department=null, xref=a, c, address=aCollege of Pharmaceutical Sciences & The Second Affiliated Hospital, School of Medicine, Zhejiang University, Hangzhou 310058, China
    cInnovation Institute for Artificial Intelligence in Medicine of Zhejiang University, Alibaba-Zhejiang University Joint Research Center of Future Digital Healthcare, Hangzhou 330110, China, bio=null, bioImg=null, bioContent=null, aboutCorrespAuthor=null), CN=AuthorExt(id=1162119906680431319, tenantId=1045748351789510663, journalId=1155139928190095384, articleId=1159858649701081638, authorId=1162119906370052819, language=CN, stringName=郑玲燕, firstName=null, middleName=null, lastName=null, prefix=null, suffix=null, authorComment=null, nameInitials=null, affiliation=null, department=null, xref=a, c, address=aCollege of Pharmaceutical Sciences & The Second Affiliated Hospital, School of Medicine, Zhejiang University, Hangzhou 310058, China
    cInnovation Institute for Artificial Intelligence in Medicine of Zhejiang University, Alibaba-Zhejiang University Joint Research Center of Future Digital Healthcare, Hangzhou 330110, China, bio=null, bioImg=null, bioContent=null, aboutCorrespAuthor=null)}, companyList=null), Author(id=1162119906793677529, tenantId=1045748351789510663, journalId=1155139928190095384, articleId=1159858649701081638, orderNo=12, firstName=null, middleName=null, lastName=null, nameCn=null, orcid=null, stid=null, country=null, authorPic=null, dead=0, email=null, emailSecond=null, emailThird=null, correspondingAuthor=0, authorType=1, ext={EN=AuthorExt(id=1162119906948866779, tenantId=1045748351789510663, journalId=1155139928190095384, articleId=1159858649701081638, authorId=1162119906793677529, language=EN, stringName=Wei Zhang, firstName=Wei, middleName=null, lastName=Zhang, prefix=null, suffix=null, authorComment=null, nameInitials=null, affiliation=null, department=null, xref=a, address=aCollege of Pharmaceutical Sciences & The Second Affiliated Hospital, School of Medicine, Zhejiang University, Hangzhou 310058, China, bio=null, bioImg=null, bioContent=null, aboutCorrespAuthor=null), CN=AuthorExt(id=1162119907066307292, tenantId=1045748351789510663, journalId=1155139928190095384, articleId=1159858649701081638, authorId=1162119906793677529, language=CN, stringName=张维, firstName=null, middleName=null, lastName=null, prefix=null, suffix=null, authorComment=null, nameInitials=null, affiliation=null, department=null, xref=a, address=aCollege of Pharmaceutical Sciences & The Second Affiliated Hospital, School of Medicine, Zhejiang University, Hangzhou 310058, China, bio=null, bioImg=null, bioContent=null, aboutCorrespAuthor=null)}, companyList=null), Author(id=1162119907179553502, tenantId=1045748351789510663, journalId=1155139928190095384, articleId=1159858649701081638, orderNo=13, firstName=null, middleName=null, lastName=null, nameCn=null, orcid=null, stid=null, country=null, authorPic=null, dead=0, email=null, emailSecond=null, emailThird=null, correspondingAuthor=0, authorType=1, ext={EN=AuthorExt(id=1162119907334742752, tenantId=1045748351789510663, journalId=1155139928190095384, articleId=1159858649701081638, authorId=1162119907179553502, language=EN, stringName=Hanyu Zhang, firstName=Hanyu, middleName=null, lastName=Zhang, prefix=null, suffix=null, authorComment=null, nameInitials=null, affiliation=null, department=null, xref=a, address=aCollege of Pharmaceutical Sciences & The Second Affiliated Hospital, School of Medicine, Zhejiang University, Hangzhou 310058, China, bio=null, bioImg=null, bioContent=null, aboutCorrespAuthor=null), CN=AuthorExt(id=1162119907447988961, tenantId=1045748351789510663, journalId=1155139928190095384, articleId=1159858649701081638, authorId=1162119907179553502, language=CN, stringName=张瀚毓, firstName=null, middleName=null, lastName=null, prefix=null, suffix=null, authorComment=null, nameInitials=null, affiliation=null, department=null, xref=a, address=aCollege of Pharmaceutical Sciences & The Second Affiliated Hospital, School of Medicine, Zhejiang University, Hangzhou 310058, China, bio=null, bioImg=null, bioContent=null, aboutCorrespAuthor=null)}, companyList=null), Author(id=1162119907569623779, tenantId=1045748351789510663, journalId=1155139928190095384, articleId=1159858649701081638, orderNo=14, firstName=null, middleName=null, lastName=null, nameCn=null, orcid=null, stid=null, country=null, authorPic=null, dead=0, email=null, emailSecond=null, emailThird=null, correspondingAuthor=0, authorType=1, ext={EN=AuthorExt(id=1162119907762561766, tenantId=1045748351789510663, journalId=1155139928190095384, articleId=1159858649701081638, authorId=1162119907569623779, language=EN, stringName=Zihao Shen, firstName=Zihao, middleName=null, lastName=Shen, prefix=null, suffix=null, authorComment=null, nameInitials=null, affiliation=null, department=null, xref=b, d, address=bShanghai Key Laboratory of New Drug Design, East China University of Science and Technology, Shanghai 200237, China
    dInnovation Center for AI and Drug Discovery, East China Normal University, Shanghai 200062, China, bio=null, bioImg=null, bioContent=null, aboutCorrespAuthor=null), CN=AuthorExt(id=1162119907875807975, tenantId=1045748351789510663, journalId=1155139928190095384, articleId=1159858649701081638, authorId=1162119907569623779, language=CN, stringName=沈子豪, firstName=null, middleName=null, lastName=null, prefix=null, suffix=null, authorComment=null, nameInitials=null, affiliation=null, department=null, xref=b, d, address=bShanghai Key Laboratory of New Drug Design, East China University of Science and Technology, Shanghai 200237, China
    dInnovation Center for AI and Drug Discovery, East China Normal University, Shanghai 200062, China, bio=null, bioImg=null, bioContent=null, aboutCorrespAuthor=null)}, companyList=null), Author(id=1162119907997442793, tenantId=1045748351789510663, journalId=1155139928190095384, articleId=1159858649701081638, orderNo=15, firstName=null, middleName=null, lastName=null, nameCn=null, orcid=null, stid=null, country=null, authorPic=null, dead=0, email=null, emailSecond=null, emailThird=null, correspondingAuthor=0, authorType=1, ext={EN=AuthorExt(id=1162119908152632043, tenantId=1045748351789510663, journalId=1155139928190095384, articleId=1159858649701081638, authorId=1162119907997442793, language=EN, stringName=Zhen Gu, firstName=Zhen, middleName=null, lastName=Gu, prefix=null, suffix=null, authorComment=null, nameInitials=null, affiliation=null, department=null, xref=a, address=aCollege of Pharmaceutical Sciences & The Second Affiliated Hospital, School of Medicine, Zhejiang University, Hangzhou 310058, China, bio=null, bioImg=null, bioContent=null, aboutCorrespAuthor=null), CN=AuthorExt(id=1162119908265878252, tenantId=1045748351789510663, journalId=1155139928190095384, articleId=1159858649701081638, authorId=1162119907997442793, language=CN, stringName=顾臻, firstName=null, middleName=null, lastName=null, prefix=null, suffix=null, authorComment=null, nameInitials=null, affiliation=null, department=null, xref=a, address=aCollege of Pharmaceutical Sciences & The Second Affiliated Hospital, School of Medicine, Zhejiang University, Hangzhou 310058, China, bio=null, bioImg=null, bioContent=null, aboutCorrespAuthor=null)}, companyList=null), Author(id=1162119908383318766, tenantId=1045748351789510663, journalId=1155139928190095384, articleId=1159858649701081638, orderNo=16, firstName=null, middleName=null, lastName=null, nameCn=null, orcid=null, stid=null, country=null, authorPic=null, dead=0, email=hlli@ecust.edu.cn, emailSecond=null, emailThird=null, correspondingAuthor=1, authorType=1, ext={EN=AuthorExt(id=1162119908618199794, tenantId=1045748351789510663, journalId=1155139928190095384, articleId=1159858649701081638, authorId=1162119908383318766, language=EN, stringName=Honglin Li, firstName=Honglin, middleName=null, lastName=Li, prefix=null, suffix=null, authorComment=null, nameInitials=null, affiliation=null, department=null, xref=b, d, e, *, address=bShanghai Key Laboratory of New Drug Design, East China University of Science and Technology, Shanghai 200237, China
    dInnovation Center for AI and Drug Discovery, East China Normal University, Shanghai 200062, China
    eLingang Laboratory, Shanghai 200031, China, bio=null, bioImg=null, bioContent=null, aboutCorrespAuthor=null), CN=AuthorExt(id=1162119908731446003, tenantId=1045748351789510663, journalId=1155139928190095384, articleId=1159858649701081638, authorId=1162119908383318766, language=CN, stringName=李洪林, firstName=null, middleName=null, lastName=null, prefix=null, suffix=null, authorComment=null, nameInitials=null, affiliation=null, department=null, xref=b, d, e, *, address=bShanghai Key Laboratory of New Drug Design, East China University of Science and Technology, Shanghai 200237, China
    dInnovation Center for AI and Drug Discovery, East China Normal University, Shanghai 200062, China
    eLingang Laboratory, Shanghai 200031, China, bio=null, bioImg=null, bioContent=null, aboutCorrespAuthor=null)}, companyList=null), Author(id=1162119908844692213, tenantId=1045748351789510663, journalId=1155139928190095384, articleId=1159858649701081638, orderNo=17, firstName=null, middleName=null, lastName=null, nameCn=null, orcid=null, stid=null, country=null, authorPic=null, dead=0, email=zhufeng@zju.edu.cn, emailSecond=null, emailThird=null, correspondingAuthor=1, authorType=1, ext={EN=AuthorExt(id=1162119909037630200, tenantId=1045748351789510663, journalId=1155139928190095384, articleId=1159858649701081638, authorId=1162119908844692213, language=EN, stringName=Feng Zhu, firstName=Feng, middleName=null, lastName=Zhu, prefix=null, suffix=null, authorComment=null, nameInitials=null, affiliation=null, department=null, xref=a, c, *, address=aCollege of Pharmaceutical Sciences & The Second Affiliated Hospital, School of Medicine, Zhejiang University, Hangzhou 310058, China
    cInnovation Institute for Artificial Intelligence in Medicine of Zhejiang University, Alibaba-Zhejiang University Joint Research Center of Future Digital Healthcare, Hangzhou 330110, China, bio=null, bioImg=null, bioContent=null, aboutCorrespAuthor=null), CN=AuthorExt(id=1162119909155070713, tenantId=1045748351789510663, journalId=1155139928190095384, articleId=1159858649701081638, authorId=1162119908844692213, language=CN, stringName=朱峰, firstName=null, middleName=null, lastName=null, prefix=null, suffix=null, authorComment=null, nameInitials=null, affiliation=null, department=null, xref=a, c, *, address=aCollege of Pharmaceutical Sciences & The Second Affiliated Hospital, School of Medicine, Zhejiang University, Hangzhou 310058, China
    cInnovation Institute for Artificial Intelligence in Medicine of Zhejiang University, Alibaba-Zhejiang University Joint Research Center of Future Digital Healthcare, Hangzhou 330110, China, bio=null, bioImg=null, bioContent=null, aboutCorrespAuthor=null)}, companyList=null)]
    Mingkun Lu , Jiayi Yin , Qi Zhu , Gaole Lin , Minjie Mou , Fuyao Liu , Ziqi Pan , Nanxin You , Xichen Lian , Fengcheng Li , Hongning Zhang , Lingyan Zheng , Wei Zhang , Hanyu Zhang , Zihao Shen , Zhen Gu , Honglin Li , Feng Zhu

    Nowadays, there has been a growing trend in the field of high-energy physics (HEP), in both its experimental and phenomenological studies, to incorporate machine learning (ML) and its specialized branch, deep learning (DL). This review paper provides a thorough illustration of these applications using different ML and DL approaches. The first part of the paper examines the basics of various particle physics types and establishes guidelines for assessing particle physics alongside the available learning models. Next, a detailed classification is provided for representing Jets that are reconstructed in high-energy collisions, mainly in proton-proton collisions at well-defined beam energies. This section covers various datasets, preprocessing techniques, and feature extraction and selection methods. The presented techniques can be applied to future hadron−hadron colliders (HHC), such as the high-luminosity LHC (HL-LHC) and the future circular collider−hadron−hadron (FCC-hh). The authors then explore several AI techniques analyses designed specifically for both image and point-cloud (PC) data in HEP. Additionally, a closer look is taken at the classification associated with Jet tagging in hadron collisions. In this review, various state-of-the-art (SOTA) techniques in ML and DL are examined, with a focus on their implications for HEP demands. More precisely, this discussion addresses various applications in extensive detail, such as Jet tagging, Jet tracking, and particle classification. The review concludes with an analysis of the current state of HEP using DL methodologies. It highlights the challenges and potential areas for future research, which are illustrated for each application.

  • Review
    Machine Learning for Chemistry: Basics and Applications
    [Author(id=1162119886438719830, tenantId=1045748351789510663, journalId=1155139928190095384, articleId=1159858623868363252, orderNo=0, firstName=null, middleName=null, lastName=null, nameCn=null, orcid=null, stid=null, country=null, authorPic=null, dead=0, email=null, emailSecond=null, emailThird=null, correspondingAuthor=0, authorType=1, ext={EN=AuthorExt(id=1162119886606491992, tenantId=1045748351789510663, journalId=1155139928190095384, articleId=1159858623868363252, authorId=1162119886438719830, language=EN, stringName=Yun-Fei Shi, firstName=Yun-Fei, middleName=null, lastName=Shi, prefix=null, suffix=null, authorComment=null, nameInitials=null, affiliation=null, department=null, xref=a, #, address=aCollaborative Innovation Center of Chemistry for Energy Material, Shanghai Key Laboratory of Molecular Catalysis and Innovative Materials, Key Laboratory of Computational Physical Sciences of the Ministry of Education, Department of Chemistry, Fudan University, Shanghai 200433, China, bio=null, bioImg=null, bioContent=null, aboutCorrespAuthor=null), CN=AuthorExt(id=1162119886728126812, tenantId=1045748351789510663, journalId=1155139928190095384, articleId=1159858623868363252, authorId=1162119886438719830, language=CN, stringName=史云飞, firstName=null, middleName=null, lastName=null, prefix=null, suffix=null, authorComment=null, nameInitials=null, affiliation=null, department=null, xref=a, #, address=aCollaborative Innovation Center of Chemistry for Energy Material, Shanghai Key Laboratory of Molecular Catalysis and Innovative Materials, Key Laboratory of Computational Physical Sciences of the Ministry of Education, Department of Chemistry, Fudan University, Shanghai 200433, China, bio=null, bioImg=null, bioContent=null, aboutCorrespAuthor=null)}, companyList=null), Author(id=1162119886858150242, tenantId=1045748351789510663, journalId=1155139928190095384, articleId=1159858623868363252, orderNo=1, firstName=null, middleName=null, lastName=null, nameCn=null, orcid=null, stid=null, country=null, authorPic=null, dead=0, email=null, emailSecond=null, emailThird=null, correspondingAuthor=0, authorType=1, ext={EN=AuthorExt(id=1162119887025922411, tenantId=1045748351789510663, journalId=1155139928190095384, articleId=1159858623868363252, authorId=1162119886858150242, language=EN, stringName=Zheng-Xin Yang, firstName=Zheng-Xin, middleName=null, lastName=Yang, prefix=null, suffix=null, authorComment=null, nameInitials=null, affiliation=null, department=null, xref=a, #, address=aCollaborative Innovation Center of Chemistry for Energy Material, Shanghai Key Laboratory of Molecular Catalysis and Innovative Materials, Key Laboratory of Computational Physical Sciences of the Ministry of Education, Department of Chemistry, Fudan University, Shanghai 200433, China, bio=null, bioImg=null, bioContent=null, aboutCorrespAuthor=null), CN=AuthorExt(id=1162119887155945843, tenantId=1045748351789510663, journalId=1155139928190095384, articleId=1159858623868363252, authorId=1162119886858150242, language=CN, stringName=杨正新, firstName=null, middleName=null, lastName=null, prefix=null, suffix=null, authorComment=null, nameInitials=null, affiliation=null, department=null, xref=a, #, address=aCollaborative Innovation Center of Chemistry for Energy Material, Shanghai Key Laboratory of Molecular Catalysis and Innovative Materials, Key Laboratory of Computational Physical Sciences of the Ministry of Education, Department of Chemistry, Fudan University, Shanghai 200433, China, bio=null, bioImg=null, bioContent=null, aboutCorrespAuthor=null)}, companyList=null), Author(id=1162119887281774967, tenantId=1045748351789510663, journalId=1155139928190095384, articleId=1159858623868363252, orderNo=2, firstName=null, middleName=null, lastName=null, nameCn=null, orcid=null, stid=null, country=null, authorPic=null, dead=0, email=null, emailSecond=null, emailThird=null, correspondingAuthor=0, authorType=1, ext={EN=AuthorExt(id=1162119887449547132, tenantId=1045748351789510663, journalId=1155139928190095384, articleId=1159858623868363252, authorId=1162119887281774967, language=EN, stringName=Sicong Ma, firstName=Sicong, middleName=null, lastName=Ma, prefix=null, suffix=null, authorComment=null, nameInitials=null, affiliation=null, department=null, xref=b, address=bKey Laboratory of Synthetic and Self-Assembly Chemistry for Organic Functional Molecules, Shanghai Institute of Organic Chemistry, Chinese Academy of Sciences, Shanghai 200032, China, bio=null, bioImg=null, bioContent=null, aboutCorrespAuthor=null), CN=AuthorExt(id=1162119887566987647, tenantId=1045748351789510663, journalId=1155139928190095384, articleId=1159858623868363252, authorId=1162119887281774967, language=CN, stringName=马思聪, firstName=null, middleName=null, lastName=null, prefix=null, suffix=null, authorComment=null, nameInitials=null, affiliation=null, department=null, xref=b, address=bKey Laboratory of Synthetic and Self-Assembly Chemistry for Organic Functional Molecules, Shanghai Institute of Organic Chemistry, Chinese Academy of Sciences, Shanghai 200032, China, bio=null, bioImg=null, bioContent=null, aboutCorrespAuthor=null)}, companyList=null), Author(id=1162119887680233857, tenantId=1045748351789510663, journalId=1155139928190095384, articleId=1159858623868363252, orderNo=3, firstName=null, middleName=null, lastName=null, nameCn=null, orcid=null, stid=null, country=null, authorPic=null, dead=0, email=null, emailSecond=null, emailThird=null, correspondingAuthor=0, authorType=1, ext={EN=AuthorExt(id=1162119887827034499, tenantId=1045748351789510663, journalId=1155139928190095384, articleId=1159858623868363252, authorId=1162119887680233857, language=EN, stringName=Pei-Lin Kang, firstName=Pei-Lin, middleName=null, lastName=Kang, prefix=null, suffix=null, authorComment=null, nameInitials=null, affiliation=null, department=null, xref=a, address=aCollaborative Innovation Center of Chemistry for Energy Material, Shanghai Key Laboratory of Molecular Catalysis and Innovative Materials, Key Laboratory of Computational Physical Sciences of the Ministry of Education, Department of Chemistry, Fudan University, Shanghai 200433, China, bio=null, bioImg=null, bioContent=null, aboutCorrespAuthor=null), CN=AuthorExt(id=1162119887940280708, tenantId=1045748351789510663, journalId=1155139928190095384, articleId=1159858623868363252, authorId=1162119887680233857, language=CN, stringName=康沛林, firstName=null, middleName=null, lastName=null, prefix=null, suffix=null, authorComment=null, nameInitials=null, affiliation=null, department=null, xref=a, address=aCollaborative Innovation Center of Chemistry for Energy Material, Shanghai Key Laboratory of Molecular Catalysis and Innovative Materials, Key Laboratory of Computational Physical Sciences of the Ministry of Education, Department of Chemistry, Fudan University, Shanghai 200433, China, bio=null, bioImg=null, bioContent=null, aboutCorrespAuthor=null)}, companyList=null), Author(id=1162119888045138311, tenantId=1045748351789510663, journalId=1155139928190095384, articleId=1159858623868363252, orderNo=4, firstName=null, middleName=null, lastName=null, nameCn=null, orcid=null, stid=null, country=null, authorPic=null, dead=0, email=null, emailSecond=null, emailThird=null, correspondingAuthor=0, authorType=1, ext={EN=AuthorExt(id=1162119888196133257, tenantId=1045748351789510663, journalId=1155139928190095384, articleId=1159858623868363252, authorId=1162119888045138311, language=EN, stringName=Cheng Shang, firstName=Cheng, middleName=null, lastName=Shang, prefix=null, suffix=null, authorComment=null, nameInitials=null, affiliation=null, department=null, xref=a, address=aCollaborative Innovation Center of Chemistry for Energy Material, Shanghai Key Laboratory of Molecular Catalysis and Innovative Materials, Key Laboratory of Computational Physical Sciences of the Ministry of Education, Department of Chemistry, Fudan University, Shanghai 200433, China, bio=null, bioImg=null, bioContent=null, aboutCorrespAuthor=null), CN=AuthorExt(id=1162119888309379466, tenantId=1045748351789510663, journalId=1155139928190095384, articleId=1159858623868363252, authorId=1162119888045138311, language=CN, stringName=商城, firstName=null, middleName=null, lastName=null, prefix=null, suffix=null, authorComment=null, nameInitials=null, affiliation=null, department=null, xref=a, address=aCollaborative Innovation Center of Chemistry for Energy Material, Shanghai Key Laboratory of Molecular Catalysis and Innovative Materials, Key Laboratory of Computational Physical Sciences of the Ministry of Education, Department of Chemistry, Fudan University, Shanghai 200433, China, bio=null, bioImg=null, bioContent=null, aboutCorrespAuthor=null)}, companyList=null), Author(id=1162119888426819981, tenantId=1045748351789510663, journalId=1155139928190095384, articleId=1159858623868363252, orderNo=5, firstName=null, middleName=null, lastName=null, nameCn=null, orcid=null, stid=null, country=null, authorPic=null, dead=0, email=p.hu@qub.ac.uk, emailSecond=null, emailThird=null, correspondingAuthor=1, authorType=1, ext={EN=AuthorExt(id=1162119888565232017, tenantId=1045748351789510663, journalId=1155139928190095384, articleId=1159858623868363252, authorId=1162119888426819981, language=EN, stringName=P. Hu, firstName=P., middleName=null, lastName=Hu, prefix=null, suffix=null, authorComment=null, nameInitials=null, affiliation=null, department=null, xref=c, *, address=cSchool of Chemistry and Chemical Engineering, Queen’s University Belfast, Belfast BT9 5AG, UK, bio=null, bioImg=null, bioContent=null, aboutCorrespAuthor=null), CN=AuthorExt(id=1162119888686866838, tenantId=1045748351789510663, journalId=1155139928190095384, articleId=1159858623868363252, authorId=1162119888426819981, language=CN, stringName=胡培君, firstName=null, middleName=null, lastName=null, prefix=null, suffix=null, authorComment=null, nameInitials=null, affiliation=null, department=null, xref=c, *, address=cSchool of Chemistry and Chemical Engineering, Queen’s University Belfast, Belfast BT9 5AG, UK, bio=null, bioImg=null, bioContent=null, aboutCorrespAuthor=null)}, companyList=null), Author(id=1162119888804307356, tenantId=1045748351789510663, journalId=1155139928190095384, articleId=1159858623868363252, orderNo=6, firstName=null, middleName=null, lastName=null, nameCn=null, orcid=null, stid=null, country=null, authorPic=null, dead=0, email=zpliu@fudan.edu.cn, emailSecond=null, emailThird=null, correspondingAuthor=1, authorType=1, ext={EN=AuthorExt(id=1162119888988856741, tenantId=1045748351789510663, journalId=1155139928190095384, articleId=1159858623868363252, authorId=1162119888804307356, language=EN, stringName=Zhi-Pan Liu, firstName=Zhi-Pan, middleName=null, lastName=Liu, prefix=null, suffix=null, authorComment=null, nameInitials=null, affiliation=null, department=null, xref=a, b, *, address=aCollaborative Innovation Center of Chemistry for Energy Material, Shanghai Key Laboratory of Molecular Catalysis and Innovative Materials, Key Laboratory of Computational Physical Sciences of the Ministry of Education, Department of Chemistry, Fudan University, Shanghai 200433, China
    bKey Laboratory of Synthetic and Self-Assembly Chemistry for Organic Functional Molecules, Shanghai Institute of Organic Chemistry, Chinese Academy of Sciences, Shanghai 200032, China, bio=null, bioImg=null, bioContent=null, aboutCorrespAuthor=null), CN=AuthorExt(id=1162119889114685866, tenantId=1045748351789510663, journalId=1155139928190095384, articleId=1159858623868363252, authorId=1162119888804307356, language=CN, stringName=刘智攀, firstName=null, middleName=null, lastName=null, prefix=null, suffix=null, authorComment=null, nameInitials=null, affiliation=null, department=null, xref=a, b, *, address=aCollaborative Innovation Center of Chemistry for Energy Material, Shanghai Key Laboratory of Molecular Catalysis and Innovative Materials, Key Laboratory of Computational Physical Sciences of the Ministry of Education, Department of Chemistry, Fudan University, Shanghai 200433, China
    bKey Laboratory of Synthetic and Self-Assembly Chemistry for Organic Functional Molecules, Shanghai Institute of Organic Chemistry, Chinese Academy of Sciences, Shanghai 200032, China, bio=null, bioImg=null, bioContent=null, aboutCorrespAuthor=null)}, companyList=null)]
    Yun-Fei Shi , Zheng-Xin Yang , Sicong Ma , Pei-Lin Kang , Cheng Shang , P. Hu , Zhi-Pan Liu

    Nowadays, there has been a growing trend in the field of high-energy physics (HEP), in both its experimental and phenomenological studies, to incorporate machine learning (ML) and its specialized branch, deep learning (DL). This review paper provides a thorough illustration of these applications using different ML and DL approaches. The first part of the paper examines the basics of various particle physics types and establishes guidelines for assessing particle physics alongside the available learning models. Next, a detailed classification is provided for representing Jets that are reconstructed in high-energy collisions, mainly in proton-proton collisions at well-defined beam energies. This section covers various datasets, preprocessing techniques, and feature extraction and selection methods. The presented techniques can be applied to future hadron−hadron colliders (HHC), such as the high-luminosity LHC (HL-LHC) and the future circular collider−hadron−hadron (FCC-hh). The authors then explore several AI techniques analyses designed specifically for both image and point-cloud (PC) data in HEP. Additionally, a closer look is taken at the classification associated with Jet tagging in hadron collisions. In this review, various state-of-the-art (SOTA) techniques in ML and DL are examined, with a focus on their implications for HEP demands. More precisely, this discussion addresses various applications in extensive detail, such as Jet tagging, Jet tracking, and particle classification. The review concludes with an analysis of the current state of HEP using DL methodologies. It highlights the challenges and potential areas for future research, which are illustrated for each application.

  • Article
    An Intelligent Control Method for the Low-Carbon Operation of Energy-Intensive Equipment
    [Author(id=1162119890716910043, tenantId=1045748351789510663, journalId=1155139928190095384, articleId=1159858651710153257, orderNo=0, firstName=null, middleName=null, lastName=null, nameCn=null, orcid=null, stid=null, country=null, authorPic=null, dead=0, email=tychai@mail.neu.edu.cn, emailSecond=null, emailThird=null, correspondingAuthor=1, authorType=1, ext={EN=AuthorExt(id=1162119890930819550, tenantId=1045748351789510663, journalId=1155139928190095384, articleId=1159858651710153257, authorId=1162119890716910043, language=EN, stringName=Tianyou Chai, firstName=Tianyou, middleName=null, lastName=Chai, prefix=null, suffix=null, authorComment=null, nameInitials=null, affiliation=null, department=null, xref=a, b, *, address=aState Key Laboratory of Synthetical Automation for Process Industries, Northeastern University, Shenyang 110819, China
    bNational Engineering Technology Research Center for Metallurgical Industry Automation (Shenyang), Northeastern University, Shenyang 110819, China, bio=null, bioImg=null, bioContent=null, aboutCorrespAuthor=null), CN=AuthorExt(id=1162119891039871455, tenantId=1045748351789510663, journalId=1155139928190095384, articleId=1159858651710153257, authorId=1162119890716910043, language=CN, stringName=柴天佑, firstName=null, middleName=null, lastName=null, prefix=null, suffix=null, authorComment=null, nameInitials=null, affiliation=null, department=null, xref=a, b, *, address=aState Key Laboratory of Synthetical Automation for Process Industries, Northeastern University, Shenyang 110819, China
    bNational Engineering Technology Research Center for Metallurgical Industry Automation (Shenyang), Northeastern University, Shenyang 110819, China, bio=null, bioImg=null, bioContent=null, aboutCorrespAuthor=null)}, companyList=null), Author(id=1162119891148923361, tenantId=1045748351789510663, journalId=1155139928190095384, articleId=1159858651710153257, orderNo=1, firstName=null, middleName=null, lastName=null, nameCn=null, orcid=null, stid=null, country=null, authorPic=null, dead=0, email=null, emailSecond=null, emailThird=null, correspondingAuthor=0, authorType=1, ext={EN=AuthorExt(id=1162119891329278436, tenantId=1045748351789510663, journalId=1155139928190095384, articleId=1159858651710153257, authorId=1162119891148923361, language=EN, stringName=Mingyu Li, firstName=Mingyu, middleName=null, lastName=Li, prefix=null, suffix=null, authorComment=null, nameInitials=null, affiliation=null, department=null, xref=a, b, address=aState Key Laboratory of Synthetical Automation for Process Industries, Northeastern University, Shenyang 110819, China
    bNational Engineering Technology Research Center for Metallurgical Industry Automation (Shenyang), Northeastern University, Shenyang 110819, China, bio=null, bioImg=null, bioContent=null, aboutCorrespAuthor=null), CN=AuthorExt(id=1162119891438330341, tenantId=1045748351789510663, journalId=1155139928190095384, articleId=1159858651710153257, authorId=1162119891148923361, language=CN, stringName=李明宇, firstName=null, middleName=null, lastName=null, prefix=null, suffix=null, authorComment=null, nameInitials=null, affiliation=null, department=null, xref=a, b, address=aState Key Laboratory of Synthetical Automation for Process Industries, Northeastern University, Shenyang 110819, China
    bNational Engineering Technology Research Center for Metallurgical Industry Automation (Shenyang), Northeastern University, Shenyang 110819, China, bio=null, bioImg=null, bioContent=null, aboutCorrespAuthor=null)}, companyList=null), Author(id=1162119891547382247, tenantId=1045748351789510663, journalId=1155139928190095384, articleId=1159858651710153257, orderNo=2, firstName=null, middleName=null, lastName=null, nameCn=null, orcid=null, stid=null, country=null, authorPic=null, dead=0, email=null, emailSecond=null, emailThird=null, correspondingAuthor=0, authorType=1, ext={EN=AuthorExt(id=1162119891727737322, tenantId=1045748351789510663, journalId=1155139928190095384, articleId=1159858651710153257, authorId=1162119891547382247, language=EN, stringName=Zheng Zhou, firstName=Zheng, middleName=null, lastName=Zhou, prefix=null, suffix=null, authorComment=null, nameInitials=null, affiliation=null, department=null, xref=a, b, address=aState Key Laboratory of Synthetical Automation for Process Industries, Northeastern University, Shenyang 110819, China
    bNational Engineering Technology Research Center for Metallurgical Industry Automation (Shenyang), Northeastern University, Shenyang 110819, China, bio=null, bioImg=null, bioContent=null, aboutCorrespAuthor=null), CN=AuthorExt(id=1162119891840983531, tenantId=1045748351789510663, journalId=1155139928190095384, articleId=1159858651710153257, authorId=1162119891547382247, language=CN, stringName=周正, firstName=null, middleName=null, lastName=null, prefix=null, suffix=null, authorComment=null, nameInitials=null, affiliation=null, department=null, xref=a, b, address=aState Key Laboratory of Synthetical Automation for Process Industries, Northeastern University, Shenyang 110819, China
    bNational Engineering Technology Research Center for Metallurgical Industry Automation (Shenyang), Northeastern University, Shenyang 110819, China, bio=null, bioImg=null, bioContent=null, aboutCorrespAuthor=null)}, companyList=null), Author(id=1162119891958424048, tenantId=1045748351789510663, journalId=1155139928190095384, articleId=1159858651710153257, orderNo=3, firstName=null, middleName=null, lastName=null, nameCn=null, orcid=null, stid=null, country=null, authorPic=null, dead=0, email=null, emailSecond=null, emailThird=null, correspondingAuthor=0, authorType=1, ext={EN=AuthorExt(id=1162119892147167736, tenantId=1045748351789510663, journalId=1155139928190095384, articleId=1159858651710153257, authorId=1162119891958424048, language=EN, stringName=Siyu Cheng, firstName=Siyu, middleName=null, lastName=Cheng, prefix=null, suffix=null, authorComment=null, nameInitials=null, affiliation=null, department=null, xref=a, b, address=aState Key Laboratory of Synthetical Automation for Process Industries, Northeastern University, Shenyang 110819, China
    bNational Engineering Technology Research Center for Metallurgical Industry Automation (Shenyang), Northeastern University, Shenyang 110819, China, bio=null, bioImg=null, bioContent=null, aboutCorrespAuthor=null), CN=AuthorExt(id=1162119892272996859, tenantId=1045748351789510663, journalId=1155139928190095384, articleId=1159858651710153257, authorId=1162119891958424048, language=CN, stringName=程思宇, firstName=null, middleName=null, lastName=null, prefix=null, suffix=null, authorComment=null, nameInitials=null, affiliation=null, department=null, xref=a, b, address=aState Key Laboratory of Synthetical Automation for Process Industries, Northeastern University, Shenyang 110819, China
    bNational Engineering Technology Research Center for Metallurgical Industry Automation (Shenyang), Northeastern University, Shenyang 110819, China, bio=null, bioImg=null, bioContent=null, aboutCorrespAuthor=null)}, companyList=null), Author(id=1162119892394631680, tenantId=1045748351789510663, journalId=1155139928190095384, articleId=1159858651710153257, orderNo=4, firstName=null, middleName=null, lastName=null, nameCn=null, orcid=null, stid=null, country=null, authorPic=null, dead=0, email=null, emailSecond=null, emailThird=null, correspondingAuthor=0, authorType=1, ext={EN=AuthorExt(id=1162119892595958280, tenantId=1045748351789510663, journalId=1155139928190095384, articleId=1159858651710153257, authorId=1162119892394631680, language=EN, stringName=Yao Jia, firstName=Yao, middleName=null, lastName=Jia, prefix=null, suffix=null, authorComment=null, nameInitials=null, affiliation=null, department=null, xref=a, b, address=aState Key Laboratory of Synthetical Automation for Process Industries, Northeastern University, Shenyang 110819, China
    bNational Engineering Technology Research Center for Metallurgical Industry Automation (Shenyang), Northeastern University, Shenyang 110819, China, bio=null, bioImg=null, bioContent=null, aboutCorrespAuthor=null), CN=AuthorExt(id=1162119892721787404, tenantId=1045748351789510663, journalId=1155139928190095384, articleId=1159858651710153257, authorId=1162119892394631680, language=CN, stringName=贾瑶, firstName=null, middleName=null, lastName=null, prefix=null, suffix=null, authorComment=null, nameInitials=null, affiliation=null, department=null, xref=a, b, address=aState Key Laboratory of Synthetical Automation for Process Industries, Northeastern University, Shenyang 110819, China
    bNational Engineering Technology Research Center for Metallurgical Industry Automation (Shenyang), Northeastern University, Shenyang 110819, China, bio=null, bioImg=null, bioContent=null, aboutCorrespAuthor=null)}, companyList=null), Author(id=1162119892843422225, tenantId=1045748351789510663, journalId=1155139928190095384, articleId=1159858651710153257, orderNo=5, firstName=null, middleName=null, lastName=null, nameCn=null, orcid=null, stid=null, country=null, authorPic=null, dead=0, email=null, emailSecond=null, emailThird=null, correspondingAuthor=0, authorType=1, ext={EN=AuthorExt(id=1162119893044748825, tenantId=1045748351789510663, journalId=1155139928190095384, articleId=1159858651710153257, authorId=1162119892843422225, language=EN, stringName=Zhiwei Wu, firstName=Zhiwei, middleName=null, lastName=Wu, prefix=null, suffix=null, authorComment=null, nameInitials=null, affiliation=null, department=null, xref=a, b, address=aState Key Laboratory of Synthetical Automation for Process Industries, Northeastern University, Shenyang 110819, China
    bNational Engineering Technology Research Center for Metallurgical Industry Automation (Shenyang), Northeastern University, Shenyang 110819, China, bio=null, bioImg=null, bioContent=null, aboutCorrespAuthor=null), CN=AuthorExt(id=1162119893166383646, tenantId=1045748351789510663, journalId=1155139928190095384, articleId=1159858651710153257, authorId=1162119892843422225, language=CN, stringName=吴志伟, firstName=null, middleName=null, lastName=null, prefix=null, suffix=null, authorComment=null, nameInitials=null, affiliation=null, department=null, xref=a, b, address=aState Key Laboratory of Synthetical Automation for Process Industries, Northeastern University, Shenyang 110819, China
    bNational Engineering Technology Research Center for Metallurgical Industry Automation (Shenyang), Northeastern University, Shenyang 110819, China, bio=null, bioImg=null, bioContent=null, aboutCorrespAuthor=null)}, companyList=null)]
    Tianyou Chai , Mingyu Li , Zheng Zhou , Siyu Cheng , Yao Jia , Zhiwei Wu

    Nowadays, there has been a growing trend in the field of high-energy physics (HEP), in both its experimental and phenomenological studies, to incorporate machine learning (ML) and its specialized branch, deep learning (DL). This review paper provides a thorough illustration of these applications using different ML and DL approaches. The first part of the paper examines the basics of various particle physics types and establishes guidelines for assessing particle physics alongside the available learning models. Next, a detailed classification is provided for representing Jets that are reconstructed in high-energy collisions, mainly in proton-proton collisions at well-defined beam energies. This section covers various datasets, preprocessing techniques, and feature extraction and selection methods. The presented techniques can be applied to future hadron−hadron colliders (HHC), such as the high-luminosity LHC (HL-LHC) and the future circular collider−hadron−hadron (FCC-hh). The authors then explore several AI techniques analyses designed specifically for both image and point-cloud (PC) data in HEP. Additionally, a closer look is taken at the classification associated with Jet tagging in hadron collisions. In this review, various state-of-the-art (SOTA) techniques in ML and DL are examined, with a focus on their implications for HEP demands. More precisely, this discussion addresses various applications in extensive detail, such as Jet tagging, Jet tracking, and particle classification. The review concludes with an analysis of the current state of HEP using DL methodologies. It highlights the challenges and potential areas for future research, which are illustrated for each application.

  • Article
    Multi-Objective Adaptive Optimization Model Predictive Control: Decreasing Carbon Emissions from a Zinc Oxide Rotary Kiln
    [Author(id=1162119925038899237, tenantId=1045748351789510663, journalId=1155139928190095384, articleId=1159858633611731468, orderNo=0, firstName=null, middleName=null, lastName=null, nameCn=null, orcid=null, stid=null, country=null, authorPic=null, dead=0, email=null, emailSecond=null, emailThird=null, correspondingAuthor=0, authorType=1, ext={EN=AuthorExt(id=1162119925202477110, tenantId=1045748351789510663, journalId=1155139928190095384, articleId=1159858633611731468, authorId=1162119925038899237, language=EN, stringName=Ke Wei, firstName=Ke, middleName=null, lastName=Wei, prefix=null, suffix=null, authorComment=null, nameInitials=null, affiliation=null, department=null, xref=null, address=School of Automation, Central South University, Changsha 410083, ChinaSchool of Automation, Central South University, Changsha 410083, China, bio=null, bioImg=null, bioContent=null, aboutCorrespAuthor=null), CN=AuthorExt(id=1162119925324111940, tenantId=1045748351789510663, journalId=1155139928190095384, articleId=1159858633611731468, authorId=1162119925038899237, language=CN, stringName=Ke Wei, firstName=null, middleName=null, lastName=null, prefix=null, suffix=null, authorComment=null, nameInitials=null, affiliation=null, department=null, xref=null, address=School of Automation, Central South University, Changsha 410083, ChinaSchool of Automation, Central South University, Changsha 410083, China, bio=null, bioImg=null, bioContent=null, aboutCorrespAuthor=null)}, companyList=null), Author(id=1162119925445746765, tenantId=1045748351789510663, journalId=1155139928190095384, articleId=1159858633611731468, orderNo=1, firstName=null, middleName=null, lastName=null, nameCn=null, orcid=null, stid=null, country=null, authorPic=null, dead=0, email=huangkeke@csu.edu.cn, emailSecond=null, emailThird=null, correspondingAuthor=1, authorType=1, ext={EN=AuthorExt(id=1162119925605130328, tenantId=1045748351789510663, journalId=1155139928190095384, articleId=1159858633611731468, authorId=1162119925445746765, language=EN, stringName=Keke Huang, firstName=Keke, middleName=null, lastName=Huang, prefix=null, suffix=null, authorComment=null, nameInitials=null, affiliation=null, department=null, xref=*, address=School of Automation, Central South University, Changsha 410083, ChinaSchool of Automation, Central South University, Changsha 410083, China, bio=null, bioImg=null, bioContent=null, aboutCorrespAuthor=null), CN=AuthorExt(id=1162119925722570851, tenantId=1045748351789510663, journalId=1155139928190095384, articleId=1159858633611731468, authorId=1162119925445746765, language=CN, stringName=Keke Huang, firstName=null, middleName=null, lastName=null, prefix=null, suffix=null, authorComment=null, nameInitials=null, affiliation=null, department=null, xref=*, address=School of Automation, Central South University, Changsha 410083, ChinaSchool of Automation, Central South University, Changsha 410083, China, bio=null, bioImg=null, bioContent=null, aboutCorrespAuthor=null)}, companyList=null), Author(id=1162119925840011371, tenantId=1045748351789510663, journalId=1155139928190095384, articleId=1159858633611731468, orderNo=2, firstName=null, middleName=null, lastName=null, nameCn=null, orcid=null, stid=null, country=null, authorPic=null, dead=0, email=null, emailSecond=null, emailThird=null, correspondingAuthor=0, authorType=1, ext={EN=AuthorExt(id=1162119925999394934, tenantId=1045748351789510663, journalId=1155139928190095384, articleId=1159858633611731468, authorId=1162119925840011371, language=EN, stringName=Chunhua Yang, firstName=Chunhua, middleName=null, lastName=Yang, prefix=null, suffix=null, authorComment=null, nameInitials=null, affiliation=null, department=null, xref=null, address=School of Automation, Central South University, Changsha 410083, ChinaSchool of Automation, Central South University, Changsha 410083, China, bio=null, bioImg=null, bioContent=null, aboutCorrespAuthor=null), CN=AuthorExt(id=1162119926121029758, tenantId=1045748351789510663, journalId=1155139928190095384, articleId=1159858633611731468, authorId=1162119925840011371, language=CN, stringName=Chunhua Yang, firstName=null, middleName=null, lastName=null, prefix=null, suffix=null, authorComment=null, nameInitials=null, affiliation=null, department=null, xref=null, address=School of Automation, Central South University, Changsha 410083, ChinaSchool of Automation, Central South University, Changsha 410083, China, bio=null, bioImg=null, bioContent=null, aboutCorrespAuthor=null)}, companyList=null), Author(id=1162119926242664583, tenantId=1045748351789510663, journalId=1155139928190095384, articleId=1159858633611731468, orderNo=3, firstName=null, middleName=null, lastName=null, nameCn=null, orcid=null, stid=null, country=null, authorPic=null, dead=0, email=null, emailSecond=null, emailThird=null, correspondingAuthor=0, authorType=1, ext={EN=AuthorExt(id=1162119926402048144, tenantId=1045748351789510663, journalId=1155139928190095384, articleId=1159858633611731468, authorId=1162119926242664583, language=EN, stringName=Weihua Gui, firstName=Weihua, middleName=null, lastName=Gui, prefix=null, suffix=null, authorComment=null, nameInitials=null, affiliation=null, department=null, xref=null, address=School of Automation, Central South University, Changsha 410083, ChinaSchool of Automation, Central South University, Changsha 410083, China, bio=null, bioImg=null, bioContent=null, aboutCorrespAuthor=null), CN=AuthorExt(id=1162119926519488666, tenantId=1045748351789510663, journalId=1155139928190095384, articleId=1159858633611731468, authorId=1162119926242664583, language=CN, stringName=Weihua Gui, firstName=null, middleName=null, lastName=null, prefix=null, suffix=null, authorComment=null, nameInitials=null, affiliation=null, department=null, xref=null, address=School of Automation, Central South University, Changsha 410083, ChinaSchool of Automation, Central South University, Changsha 410083, China, bio=null, bioImg=null, bioContent=null, aboutCorrespAuthor=null)}, companyList=null)] Ke Wei , Keke Huang , Chunhua Yang , Weihua Gui

    Nowadays, there has been a growing trend in the field of high-energy physics (HEP), in both its experimental and phenomenological studies, to incorporate machine learning (ML) and its specialized branch, deep learning (DL). This review paper provides a thorough illustration of these applications using different ML and DL approaches. The first part of the paper examines the basics of various particle physics types and establishes guidelines for assessing particle physics alongside the available learning models. Next, a detailed classification is provided for representing Jets that are reconstructed in high-energy collisions, mainly in proton-proton collisions at well-defined beam energies. This section covers various datasets, preprocessing techniques, and feature extraction and selection methods. The presented techniques can be applied to future hadron−hadron colliders (HHC), such as the high-luminosity LHC (HL-LHC) and the future circular collider−hadron−hadron (FCC-hh). The authors then explore several AI techniques analyses designed specifically for both image and point-cloud (PC) data in HEP. Additionally, a closer look is taken at the classification associated with Jet tagging in hadron collisions. In this review, various state-of-the-art (SOTA) techniques in ML and DL are examined, with a focus on their implications for HEP demands. More precisely, this discussion addresses various applications in extensive detail, such as Jet tagging, Jet tracking, and particle classification. The review concludes with an analysis of the current state of HEP using DL methodologies. It highlights the challenges and potential areas for future research, which are illustrated for each application.

  • Review
    Nanotechnology: A New Strategy for Lung Cancer Treatment Targeting Pro-Tumor Neutrophils
    [Author(id=1162119850824884827, tenantId=1045748351789510663, journalId=1155139928190095384, articleId=1159857695526281591, orderNo=0, firstName=null, middleName=null, lastName=null, nameCn=null, orcid=null, stid=null, country=null, authorPic=null, dead=0, email=null, emailSecond=null, emailThird=null, correspondingAuthor=0, authorType=1, ext={EN=AuthorExt(id=1162119851030405729, tenantId=1045748351789510663, journalId=1155139928190095384, articleId=1159857695526281591, authorId=1162119850824884827, language=EN, stringName=Jian Zhang, firstName=Jian, middleName=null, lastName=Zhang, prefix=null, suffix=null, authorComment=null, nameInitials=null, affiliation=null, department=null, xref=a, b, #, address=aDepartment of Thoracic Surgery, the First Medical Center of the Chinese PLA General Hospital, Beijing 100853, China
    bSchool of Medicine, Nankai University, Tianjin 300071, China, bio=null, bioImg=null, bioContent=null, aboutCorrespAuthor=null), CN=AuthorExt(id=1162119851156234851, tenantId=1045748351789510663, journalId=1155139928190095384, articleId=1159857695526281591, authorId=1162119850824884827, language=CN, stringName=张健, firstName=null, middleName=null, lastName=null, prefix=null, suffix=null, authorComment=null, nameInitials=null, affiliation=null, department=null, xref=a, b, #, address=aDepartment of Thoracic Surgery, the First Medical Center of the Chinese PLA General Hospital, Beijing 100853, China
    bSchool of Medicine, Nankai University, Tianjin 300071, China, bio=null, bioImg=null, bioContent=null, aboutCorrespAuthor=null)}, companyList=null), Author(id=1162119851282063974, tenantId=1045748351789510663, journalId=1155139928190095384, articleId=1159857695526281591, orderNo=1, firstName=null, middleName=null, lastName=null, nameCn=null, orcid=null, stid=null, country=null, authorPic=null, dead=0, email=null, emailSecond=null, emailThird=null, correspondingAuthor=0, authorType=1, ext={EN=AuthorExt(id=1162119851491779181, tenantId=1045748351789510663, journalId=1155139928190095384, articleId=1159857695526281591, authorId=1162119851282063974, language=EN, stringName=Shasha Jiang, firstName=Shasha, middleName=null, lastName=Jiang, prefix=null, suffix=null, authorComment=null, nameInitials=null, affiliation=null, department=null, xref=a, c, #, address=aDepartment of Thoracic Surgery, the First Medical Center of the Chinese PLA General Hospital, Beijing 100853, China
    cPostgraduate School, Medical School of the Chinese PLA, Beijing 100853, China, bio=null, bioImg=null, bioContent=null, aboutCorrespAuthor=null), CN=AuthorExt(id=1162119851613413998, tenantId=1045748351789510663, journalId=1155139928190095384, articleId=1159857695526281591, authorId=1162119851282063974, language=CN, stringName=蒋莎莎, firstName=null, middleName=null, lastName=null, prefix=null, suffix=null, authorComment=null, nameInitials=null, affiliation=null, department=null, xref=a, c, #, address=aDepartment of Thoracic Surgery, the First Medical Center of the Chinese PLA General Hospital, Beijing 100853, China
    cPostgraduate School, Medical School of the Chinese PLA, Beijing 100853, China, bio=null, bioImg=null, bioContent=null, aboutCorrespAuthor=null)}, companyList=null), Author(id=1162119851743437425, tenantId=1045748351789510663, journalId=1155139928190095384, articleId=1159857695526281591, orderNo=2, firstName=null, middleName=null, lastName=null, nameCn=null, orcid=null, stid=null, country=null, authorPic=null, dead=0, email=null, emailSecond=null, emailThird=null, correspondingAuthor=0, authorType=1, ext={EN=AuthorExt(id=1162119851948958328, tenantId=1045748351789510663, journalId=1155139928190095384, articleId=1159857695526281591, authorId=1162119851743437425, language=EN, stringName=Shilin Li, firstName=Shilin, middleName=null, lastName=Li, prefix=null, suffix=null, authorComment=null, nameInitials=null, affiliation=null, department=null, xref=d, e, #, address=dCAS Key Laboratory for Biomedical Effects of Nanomaterials and Nanosafety & CAS Center for Excellence in Nanoscience, National Center for Nanoscience and Technology of China, Beijing 100190, China
    eUniversity of Chinese Academy of Science, Beijing 100049, China, bio=null, bioImg=null, bioContent=null, aboutCorrespAuthor=null), CN=AuthorExt(id=1162119852074787450, tenantId=1045748351789510663, journalId=1155139928190095384, articleId=1159857695526281591, authorId=1162119851743437425, language=CN, stringName=李仕林, firstName=null, middleName=null, lastName=null, prefix=null, suffix=null, authorComment=null, nameInitials=null, affiliation=null, department=null, xref=d, e, #, address=dCAS Key Laboratory for Biomedical Effects of Nanomaterials and Nanosafety & CAS Center for Excellence in Nanoscience, National Center for Nanoscience and Technology of China, Beijing 100190, China
    eUniversity of Chinese Academy of Science, Beijing 100049, China, bio=null, bioImg=null, bioContent=null, aboutCorrespAuthor=null)}, companyList=null), Author(id=1162119852204810877, tenantId=1045748351789510663, journalId=1155139928190095384, articleId=1159857695526281591, orderNo=3, firstName=null, middleName=null, lastName=null, nameCn=null, orcid=null, stid=null, country=null, authorPic=null, dead=0, email=null, emailSecond=null, emailThird=null, correspondingAuthor=0, authorType=1, ext={EN=AuthorExt(id=1162119852406137475, tenantId=1045748351789510663, journalId=1155139928190095384, articleId=1159857695526281591, authorId=1162119852204810877, language=EN, stringName=Jipeng Jiang, firstName=Jipeng, middleName=null, lastName=Jiang, prefix=null, suffix=null, authorComment=null, nameInitials=null, affiliation=null, department=null, xref=a, c, address=aDepartment of Thoracic Surgery, the First Medical Center of the Chinese PLA General Hospital, Beijing 100853, China
    cPostgraduate School, Medical School of the Chinese PLA, Beijing 100853, China, bio=null, bioImg=null, bioContent=null, aboutCorrespAuthor=null), CN=AuthorExt(id=1162119852531966597, tenantId=1045748351789510663, journalId=1155139928190095384, articleId=1159857695526281591, authorId=1162119852204810877, language=CN, stringName=江继鹏, firstName=null, middleName=null, lastName=null, prefix=null, suffix=null, authorComment=null, nameInitials=null, affiliation=null, department=null, xref=a, c, address=aDepartment of Thoracic Surgery, the First Medical Center of the Chinese PLA General Hospital, Beijing 100853, China
    cPostgraduate School, Medical School of the Chinese PLA, Beijing 100853, China, bio=null, bioImg=null, bioContent=null, aboutCorrespAuthor=null)}, companyList=null), Author(id=1162119852657795720, tenantId=1045748351789510663, journalId=1155139928190095384, articleId=1159857695526281591, orderNo=4, firstName=null, middleName=null, lastName=null, nameCn=null, orcid=null, stid=null, country=null, authorPic=null, dead=0, email=null, emailSecond=null, emailThird=null, correspondingAuthor=0, authorType=1, ext={EN=AuthorExt(id=1162119852821373578, tenantId=1045748351789510663, journalId=1155139928190095384, articleId=1159857695526281591, authorId=1162119852657795720, language=EN, stringName=Jie Mei, firstName=Jie, middleName=null, lastName=Mei, prefix=null, suffix=null, authorComment=null, nameInitials=null, affiliation=null, department=null, xref=d, address=dCAS Key Laboratory for Biomedical Effects of Nanomaterials and Nanosafety & CAS Center for Excellence in Nanoscience, National Center for Nanoscience and Technology of China, Beijing 100190, China, bio=null, bioImg=null, bioContent=null, aboutCorrespAuthor=null), CN=AuthorExt(id=1162119852947202699, tenantId=1045748351789510663, journalId=1155139928190095384, articleId=1159857695526281591, authorId=1162119852657795720, language=CN, stringName=梅婕, firstName=null, middleName=null, lastName=null, prefix=null, suffix=null, authorComment=null, nameInitials=null, affiliation=null, department=null, xref=d, address=dCAS Key Laboratory for Biomedical Effects of Nanomaterials and Nanosafety & CAS Center for Excellence in Nanoscience, National Center for Nanoscience and Technology of China, Beijing 100190, China, bio=null, bioImg=null, bioContent=null, aboutCorrespAuthor=null)}, companyList=null), Author(id=1162119853073031821, tenantId=1045748351789510663, journalId=1155139928190095384, articleId=1159857695526281591, orderNo=5, firstName=null, middleName=null, lastName=null, nameCn=null, orcid=null, stid=null, country=null, authorPic=null, dead=0, email=null, emailSecond=null, emailThird=null, correspondingAuthor=0, authorType=1, ext={EN=AuthorExt(id=1162119853240803983, tenantId=1045748351789510663, journalId=1155139928190095384, articleId=1159857695526281591, authorId=1162119853073031821, language=EN, stringName=Yandong Chen, firstName=Yandong, middleName=null, lastName=Chen, prefix=null, suffix=null, authorComment=null, nameInitials=null, affiliation=null, department=null, xref=d, address=dCAS Key Laboratory for Biomedical Effects of Nanomaterials and Nanosafety & CAS Center for Excellence in Nanoscience, National Center for Nanoscience and Technology of China, Beijing 100190, China, bio=null, bioImg=null, bioContent=null, aboutCorrespAuthor=null), CN=AuthorExt(id=1162119853366633104, tenantId=1045748351789510663, journalId=1155139928190095384, articleId=1159857695526281591, authorId=1162119853073031821, language=CN, stringName=陈延东, firstName=null, middleName=null, lastName=null, prefix=null, suffix=null, authorComment=null, nameInitials=null, affiliation=null, department=null, xref=d, address=dCAS Key Laboratory for Biomedical Effects of Nanomaterials and Nanosafety & CAS Center for Excellence in Nanoscience, National Center for Nanoscience and Technology of China, Beijing 100190, China, bio=null, bioImg=null, bioContent=null, aboutCorrespAuthor=null)}, companyList=null), Author(id=1162119853492462226, tenantId=1045748351789510663, journalId=1155139928190095384, articleId=1159857695526281591, orderNo=6, firstName=null, middleName=null, lastName=null, nameCn=null, orcid=null, stid=null, country=null, authorPic=null, dead=0, email=yongfuabc@sina.com, emailSecond=null, emailThird=null, correspondingAuthor=1, authorType=1, ext={EN=AuthorExt(id=1162119853660234388, tenantId=1045748351789510663, journalId=1155139928190095384, articleId=1159857695526281591, authorId=1162119853492462226, language=EN, stringName=Yongfu Ma, firstName=Yongfu, middleName=null, lastName=Ma, prefix=null, suffix=null, authorComment=null, nameInitials=null, affiliation=null, department=null, xref=a, *, address=aDepartment of Thoracic Surgery, the First Medical Center of the Chinese PLA General Hospital, Beijing 100853, China, bio=null, bioImg=null, bioContent=null, aboutCorrespAuthor=null), CN=AuthorExt(id=1162119853786063509, tenantId=1045748351789510663, journalId=1155139928190095384, articleId=1159857695526281591, authorId=1162119853492462226, language=CN, stringName=马永富, firstName=null, middleName=null, lastName=null, prefix=null, suffix=null, authorComment=null, nameInitials=null, affiliation=null, department=null, xref=a, *, address=aDepartment of Thoracic Surgery, the First Medical Center of the Chinese PLA General Hospital, Beijing 100853, China, bio=null, bioImg=null, bioContent=null, aboutCorrespAuthor=null)}, companyList=null), Author(id=1162119853911892631, tenantId=1045748351789510663, journalId=1155139928190095384, articleId=1159857695526281591, orderNo=7, firstName=null, middleName=null, lastName=null, nameCn=null, orcid=null, stid=null, country=null, authorPic=null, dead=0, email=sunny301x@sina.com, emailSecond=null, emailThird=null, correspondingAuthor=1, authorType=1, ext={EN=AuthorExt(id=1162119854121607834, tenantId=1045748351789510663, journalId=1155139928190095384, articleId=1159857695526281591, authorId=1162119853911892631, language=EN, stringName=Yang Liu, firstName=Yang, middleName=null, lastName=Liu, prefix=null, suffix=null, authorComment=null, nameInitials=null, affiliation=null, department=null, xref=a, b, *, address=aDepartment of Thoracic Surgery, the First Medical Center of the Chinese PLA General Hospital, Beijing 100853, China
    bSchool of Medicine, Nankai University, Tianjin 300071, China, bio=null, bioImg=null, bioContent=null, aboutCorrespAuthor=null), CN=AuthorExt(id=1162119854247436955, tenantId=1045748351789510663, journalId=1155139928190095384, articleId=1159857695526281591, authorId=1162119853911892631, language=CN, stringName=刘阳, firstName=null, middleName=null, lastName=null, prefix=null, suffix=null, authorComment=null, nameInitials=null, affiliation=null, department=null, xref=a, b, *, address=aDepartment of Thoracic Surgery, the First Medical Center of the Chinese PLA General Hospital, Beijing 100853, China
    bSchool of Medicine, Nankai University, Tianjin 300071, China, bio=null, bioImg=null, bioContent=null, aboutCorrespAuthor=null)}, companyList=null), Author(id=1162119854369071773, tenantId=1045748351789510663, journalId=1155139928190095384, articleId=1159857695526281591, orderNo=8, firstName=null, middleName=null, lastName=null, nameCn=null, orcid=null, stid=null, country=null, authorPic=null, dead=0, email=liuy@nanoctr.cn, emailSecond=null, emailThird=null, correspondingAuthor=1, authorType=1, ext={EN=AuthorExt(id=1162119854574592672, tenantId=1045748351789510663, journalId=1155139928190095384, articleId=1159857695526281591, authorId=1162119854369071773, language=EN, stringName=Ying Liu, firstName=Ying, middleName=null, lastName=Liu, prefix=null, suffix=null, authorComment=null, nameInitials=null, affiliation=null, department=null, xref=d, f, *, address=dCAS Key Laboratory for Biomedical Effects of Nanomaterials and Nanosafety & CAS Center for Excellence in Nanoscience, National Center for Nanoscience and Technology of China, Beijing 100190, China
    fThe Great Bay Area National Institute for Nanotechnology Innovation, Guangdong 510700, China, bio=null, bioImg=null, bioContent=null, aboutCorrespAuthor=null), CN=AuthorExt(id=1162119854704616097, tenantId=1045748351789510663, journalId=1155139928190095384, articleId=1159857695526281591, authorId=1162119854369071773, language=CN, stringName=刘颖, firstName=null, middleName=null, lastName=null, prefix=null, suffix=null, authorComment=null, nameInitials=null, affiliation=null, department=null, xref=d, f, *, address=dCAS Key Laboratory for Biomedical Effects of Nanomaterials and Nanosafety & CAS Center for Excellence in Nanoscience, National Center for Nanoscience and Technology of China, Beijing 100190, China
    fThe Great Bay Area National Institute for Nanotechnology Innovation, Guangdong 510700, China, bio=null, bioImg=null, bioContent=null, aboutCorrespAuthor=null)}, companyList=null)]
    Jian Zhang , Shasha Jiang , Shilin Li , Jipeng Jiang , Jie Mei , Yandong Chen , Yongfu Ma , Yang Liu , Ying Liu

    Nowadays, there has been a growing trend in the field of high-energy physics (HEP), in both its experimental and phenomenological studies, to incorporate machine learning (ML) and its specialized branch, deep learning (DL). This review paper provides a thorough illustration of these applications using different ML and DL approaches. The first part of the paper examines the basics of various particle physics types and establishes guidelines for assessing particle physics alongside the available learning models. Next, a detailed classification is provided for representing Jets that are reconstructed in high-energy collisions, mainly in proton-proton collisions at well-defined beam energies. This section covers various datasets, preprocessing techniques, and feature extraction and selection methods. The presented techniques can be applied to future hadron−hadron colliders (HHC), such as the high-luminosity LHC (HL-LHC) and the future circular collider−hadron−hadron (FCC-hh). The authors then explore several AI techniques analyses designed specifically for both image and point-cloud (PC) data in HEP. Additionally, a closer look is taken at the classification associated with Jet tagging in hadron collisions. In this review, various state-of-the-art (SOTA) techniques in ML and DL are examined, with a focus on their implications for HEP demands. More precisely, this discussion addresses various applications in extensive detail, such as Jet tagging, Jet tracking, and particle classification. The review concludes with an analysis of the current state of HEP using DL methodologies. It highlights the challenges and potential areas for future research, which are illustrated for each application.

  • Article
    Lung-Targeted Transgene Expression of Nanocomplexed Ad5 Enhances Immune Response in the Presence of Preexisting Immunity
    [Author(id=1162119819992556521, tenantId=1045748351789510663, journalId=1155139928190095384, articleId=1159857688735703402, orderNo=0, firstName=null, middleName=null, lastName=null, nameCn=null, orcid=null, stid=null, country=null, authorPic=null, dead=0, email=null, emailSecond=null, emailThird=null, correspondingAuthor=0, authorType=1, ext={EN=AuthorExt(id=1162119820151940077, tenantId=1045748351789510663, journalId=1155139928190095384, articleId=1159857688735703402, authorId=1162119819992556521, language=EN, stringName=Yilong Yang, firstName=Yilong, middleName=null, lastName=Yang, prefix=null, suffix=null, authorComment=null, nameInitials=null, affiliation=null, department=null, xref=#, address=Beijing Institute of Biotechnology, Beijing 100071, ChinaBeijing Institute of Biotechnology, Beijing 100071, China, bio=null, bioImg=null, bioContent=null, aboutCorrespAuthor=null), CN=AuthorExt(id=1162119820277769200, tenantId=1045748351789510663, journalId=1155139928190095384, articleId=1159857688735703402, authorId=1162119819992556521, language=CN, stringName=杨益隆, firstName=null, middleName=null, lastName=null, prefix=null, suffix=null, authorComment=null, nameInitials=null, affiliation=null, department=null, xref=#, address=Beijing Institute of Biotechnology, Beijing 100071, ChinaBeijing Institute of Biotechnology, Beijing 100071, China, bio=null, bioImg=null, bioContent=null, aboutCorrespAuthor=null)}, companyList=null), Author(id=1162119820399404021, tenantId=1045748351789510663, journalId=1155139928190095384, articleId=1159857688735703402, orderNo=1, firstName=null, middleName=null, lastName=null, nameCn=null, orcid=null, stid=null, country=null, authorPic=null, dead=0, email=null, emailSecond=null, emailThird=null, correspondingAuthor=0, authorType=1, ext={EN=AuthorExt(id=1162119820558787576, tenantId=1045748351789510663, journalId=1155139928190095384, articleId=1159857688735703402, authorId=1162119820399404021, language=EN, stringName=Shipo Wu, firstName=Shipo, middleName=null, lastName=Wu, prefix=null, suffix=null, authorComment=null, nameInitials=null, affiliation=null, department=null, xref=#, address=Beijing Institute of Biotechnology, Beijing 100071, ChinaBeijing Institute of Biotechnology, Beijing 100071, China, bio=null, bioImg=null, bioContent=null, aboutCorrespAuthor=null), CN=AuthorExt(id=1162119820680422393, tenantId=1045748351789510663, journalId=1155139928190095384, articleId=1159857688735703402, authorId=1162119820399404021, language=CN, stringName=吴诗坡, firstName=null, middleName=null, lastName=null, prefix=null, suffix=null, authorComment=null, nameInitials=null, affiliation=null, department=null, xref=#, address=Beijing Institute of Biotechnology, Beijing 100071, ChinaBeijing Institute of Biotechnology, Beijing 100071, China, bio=null, bioImg=null, bioContent=null, aboutCorrespAuthor=null)}, companyList=null), Author(id=1162119820806251515, tenantId=1045748351789510663, journalId=1155139928190095384, articleId=1159857688735703402, orderNo=2, firstName=null, middleName=null, lastName=null, nameCn=null, orcid=null, stid=null, country=null, authorPic=null, dead=0, email=null, emailSecond=null, emailThird=null, correspondingAuthor=0, authorType=1, ext={EN=AuthorExt(id=1162119820969829373, tenantId=1045748351789510663, journalId=1155139928190095384, articleId=1159857688735703402, authorId=1162119820806251515, language=EN, stringName=Yudong Wang, firstName=Yudong, middleName=null, lastName=Wang, prefix=null, suffix=null, authorComment=null, nameInitials=null, affiliation=null, department=null, xref=null, address=Beijing Institute of Biotechnology, Beijing 100071, ChinaBeijing Institute of Biotechnology, Beijing 100071, China, bio=null, bioImg=null, bioContent=null, aboutCorrespAuthor=null), CN=AuthorExt(id=1162119821091464190, tenantId=1045748351789510663, journalId=1155139928190095384, articleId=1159857688735703402, authorId=1162119820806251515, language=CN, stringName=王玉东, firstName=null, middleName=null, lastName=null, prefix=null, suffix=null, authorComment=null, nameInitials=null, affiliation=null, department=null, xref=null, address=Beijing Institute of Biotechnology, Beijing 100071, ChinaBeijing Institute of Biotechnology, Beijing 100071, China, bio=null, bioImg=null, bioContent=null, aboutCorrespAuthor=null)}, companyList=null), Author(id=1162119821217293312, tenantId=1045748351789510663, journalId=1155139928190095384, articleId=1159857688735703402, orderNo=3, firstName=null, middleName=null, lastName=null, nameCn=null, orcid=null, stid=null, country=null, authorPic=null, dead=0, email=null, emailSecond=null, emailThird=null, correspondingAuthor=0, authorType=1, ext={EN=AuthorExt(id=1162119821380870145, tenantId=1045748351789510663, journalId=1155139928190095384, articleId=1159857688735703402, authorId=1162119821217293312, language=EN, stringName=Fangze Shao, firstName=Fangze, middleName=null, lastName=Shao, prefix=null, suffix=null, authorComment=null, nameInitials=null, affiliation=null, department=null, xref=null, address=Beijing Institute of Biotechnology, Beijing 100071, ChinaBeijing Institute of Biotechnology, Beijing 100071, China, bio=null, bioImg=null, bioContent=null, aboutCorrespAuthor=null), CN=AuthorExt(id=1162119821502504963, tenantId=1045748351789510663, journalId=1155139928190095384, articleId=1159857688735703402, authorId=1162119821217293312, language=CN, stringName=邵方泽, firstName=null, middleName=null, lastName=null, prefix=null, suffix=null, authorComment=null, nameInitials=null, affiliation=null, department=null, xref=null, address=Beijing Institute of Biotechnology, Beijing 100071, ChinaBeijing Institute of Biotechnology, Beijing 100071, China, bio=null, bioImg=null, bioContent=null, aboutCorrespAuthor=null)}, companyList=null), Author(id=1162119821624139782, tenantId=1045748351789510663, journalId=1155139928190095384, articleId=1159857688735703402, orderNo=4, firstName=null, middleName=null, lastName=null, nameCn=null, orcid=null, stid=null, country=null, authorPic=null, dead=0, email=null, emailSecond=null, emailThird=null, correspondingAuthor=0, authorType=1, ext={EN=AuthorExt(id=1162119821791911944, tenantId=1045748351789510663, journalId=1155139928190095384, articleId=1159857688735703402, authorId=1162119821624139782, language=EN, stringName=Peng Lv, firstName=Peng, middleName=null, lastName=Lv, prefix=null, suffix=null, authorComment=null, nameInitials=null, affiliation=null, department=null, xref=null, address=Beijing Institute of Biotechnology, Beijing 100071, ChinaBeijing Institute of Biotechnology, Beijing 100071, China, bio=null, bioImg=null, bioContent=null, aboutCorrespAuthor=null), CN=AuthorExt(id=1162119821913546761, tenantId=1045748351789510663, journalId=1155139928190095384, articleId=1159857688735703402, authorId=1162119821624139782, language=CN, stringName=吕鹏, firstName=null, middleName=null, lastName=null, prefix=null, suffix=null, authorComment=null, nameInitials=null, affiliation=null, department=null, xref=null, address=Beijing Institute of Biotechnology, Beijing 100071, ChinaBeijing Institute of Biotechnology, Beijing 100071, China, bio=null, bioImg=null, bioContent=null, aboutCorrespAuthor=null)}, companyList=null), Author(id=1162119822039375883, tenantId=1045748351789510663, journalId=1155139928190095384, articleId=1159857688735703402, orderNo=5, firstName=null, middleName=null, lastName=null, nameCn=null, orcid=null, stid=null, country=null, authorPic=null, dead=0, email=null, emailSecond=null, emailThird=null, correspondingAuthor=0, authorType=1, ext={EN=AuthorExt(id=1162119822202953741, tenantId=1045748351789510663, journalId=1155139928190095384, articleId=1159857688735703402, authorId=1162119822039375883, language=EN, stringName=Ruihua Li, firstName=Ruihua, middleName=null, lastName=Li, prefix=null, suffix=null, authorComment=null, nameInitials=null, affiliation=null, department=null, xref=null, address=Beijing Institute of Biotechnology, Beijing 100071, ChinaBeijing Institute of Biotechnology, Beijing 100071, China, bio=null, bioImg=null, bioContent=null, aboutCorrespAuthor=null), CN=AuthorExt(id=1162119822324588558, tenantId=1045748351789510663, journalId=1155139928190095384, articleId=1159857688735703402, authorId=1162119822039375883, language=CN, stringName=李汭桦, firstName=null, middleName=null, lastName=null, prefix=null, suffix=null, authorComment=null, nameInitials=null, affiliation=null, department=null, xref=null, address=Beijing Institute of Biotechnology, Beijing 100071, ChinaBeijing Institute of Biotechnology, Beijing 100071, China, bio=null, bioImg=null, bioContent=null, aboutCorrespAuthor=null)}, companyList=null), Author(id=1162119822446223376, tenantId=1045748351789510663, journalId=1155139928190095384, articleId=1159857688735703402, orderNo=6, firstName=null, middleName=null, lastName=null, nameCn=null, orcid=null, stid=null, country=null, authorPic=null, dead=0, email=null, emailSecond=null, emailThird=null, correspondingAuthor=0, authorType=1, ext={EN=AuthorExt(id=1162119822609801234, tenantId=1045748351789510663, journalId=1155139928190095384, articleId=1159857688735703402, authorId=1162119822446223376, language=EN, stringName=Xiaofan Zhao, firstName=Xiaofan, middleName=null, lastName=Zhao, prefix=null, suffix=null, authorComment=null, nameInitials=null, affiliation=null, department=null, xref=null, address=Beijing Institute of Biotechnology, Beijing 100071, ChinaBeijing Institute of Biotechnology, Beijing 100071, China, bio=null, bioImg=null, bioContent=null, aboutCorrespAuthor=null), CN=AuthorExt(id=1162119822735630355, tenantId=1045748351789510663, journalId=1155139928190095384, articleId=1159857688735703402, authorId=1162119822446223376, language=CN, stringName=赵晓帆, firstName=null, middleName=null, lastName=null, prefix=null, suffix=null, authorComment=null, nameInitials=null, affiliation=null, department=null, xref=null, address=Beijing Institute of Biotechnology, Beijing 100071, ChinaBeijing Institute of Biotechnology, Beijing 100071, China, bio=null, bioImg=null, bioContent=null, aboutCorrespAuthor=null)}, companyList=null), Author(id=1162119822853070869, tenantId=1045748351789510663, journalId=1155139928190095384, articleId=1159857688735703402, orderNo=7, firstName=null, middleName=null, lastName=null, nameCn=null, orcid=null, stid=null, country=null, authorPic=null, dead=0, email=null, emailSecond=null, emailThird=null, correspondingAuthor=0, authorType=1, ext={EN=AuthorExt(id=1162119823016648727, tenantId=1045748351789510663, journalId=1155139928190095384, articleId=1159857688735703402, authorId=1162119822853070869, language=EN, stringName=Jun Zhang, firstName=Jun, middleName=null, lastName=Zhang, prefix=null, suffix=null, authorComment=null, nameInitials=null, affiliation=null, department=null, xref=null, address=Beijing Institute of Biotechnology, Beijing 100071, ChinaBeijing Institute of Biotechnology, Beijing 100071, China, bio=null, bioImg=null, bioContent=null, aboutCorrespAuthor=null), CN=AuthorExt(id=1162119823142477848, tenantId=1045748351789510663, journalId=1155139928190095384, articleId=1159857688735703402, authorId=1162119822853070869, language=CN, stringName=张军, firstName=null, middleName=null, lastName=null, prefix=null, suffix=null, authorComment=null, nameInitials=null, affiliation=null, department=null, xref=null, address=Beijing Institute of Biotechnology, Beijing 100071, ChinaBeijing Institute of Biotechnology, Beijing 100071, China, bio=null, bioImg=null, bioContent=null, aboutCorrespAuthor=null)}, companyList=null), Author(id=1162119823264112666, tenantId=1045748351789510663, journalId=1155139928190095384, articleId=1159857688735703402, orderNo=8, firstName=null, middleName=null, lastName=null, nameCn=null, orcid=null, stid=null, country=null, authorPic=null, dead=0, email=null, emailSecond=null, emailThird=null, correspondingAuthor=0, authorType=1, ext={EN=AuthorExt(id=1162119823427690524, tenantId=1045748351789510663, journalId=1155139928190095384, articleId=1159857688735703402, authorId=1162119823264112666, language=EN, stringName=Xiaopeng Zhang, firstName=Xiaopeng, middleName=null, lastName=Zhang, prefix=null, suffix=null, authorComment=null, nameInitials=null, affiliation=null, department=null, xref=null, address=Beijing Institute of Biotechnology, Beijing 100071, ChinaBeijing Institute of Biotechnology, Beijing 100071, China, bio=null, bioImg=null, bioContent=null, aboutCorrespAuthor=null), CN=AuthorExt(id=1162119823549325341, tenantId=1045748351789510663, journalId=1155139928190095384, articleId=1159857688735703402, authorId=1162119823264112666, language=CN, stringName=张晓鹏, firstName=null, middleName=null, lastName=null, prefix=null, suffix=null, authorComment=null, nameInitials=null, affiliation=null, department=null, xref=null, address=Beijing Institute of Biotechnology, Beijing 100071, ChinaBeijing Institute of Biotechnology, Beijing 100071, China, bio=null, bioImg=null, bioContent=null, aboutCorrespAuthor=null)}, companyList=null), Author(id=1162119823670960159, tenantId=1045748351789510663, journalId=1155139928190095384, articleId=1159857688735703402, orderNo=9, firstName=null, middleName=null, lastName=null, nameCn=null, orcid=null, stid=null, country=null, authorPic=null, dead=0, email=null, emailSecond=null, emailThird=null, correspondingAuthor=0, authorType=1, ext={EN=AuthorExt(id=1162119823834538017, tenantId=1045748351789510663, journalId=1155139928190095384, articleId=1159857688735703402, authorId=1162119823670960159, language=EN, stringName=Jianmin Li, firstName=Jianmin, middleName=null, lastName=Li, prefix=null, suffix=null, authorComment=null, nameInitials=null, affiliation=null, department=null, xref=null, address=Beijing Institute of Biotechnology, Beijing 100071, ChinaBeijing Institute of Biotechnology, Beijing 100071, China, bio=null, bioImg=null, bioContent=null, aboutCorrespAuthor=null), CN=AuthorExt(id=1162119823964561442, tenantId=1045748351789510663, journalId=1155139928190095384, articleId=1159857688735703402, authorId=1162119823670960159, language=CN, stringName=李建民, firstName=null, middleName=null, lastName=null, prefix=null, suffix=null, authorComment=null, nameInitials=null, affiliation=null, department=null, xref=null, address=Beijing Institute of Biotechnology, Beijing 100071, ChinaBeijing Institute of Biotechnology, Beijing 100071, China, bio=null, bioImg=null, bioContent=null, aboutCorrespAuthor=null)}, companyList=null), Author(id=1162119824090390564, tenantId=1045748351789510663, journalId=1155139928190095384, articleId=1159857688735703402, orderNo=10, firstName=null, middleName=null, lastName=null, nameCn=null, orcid=null, stid=null, country=null, authorPic=null, dead=0, email=houlihua@sina.com, emailSecond=null, emailThird=null, correspondingAuthor=1, authorType=1, ext={EN=AuthorExt(id=1162119824253968422, tenantId=1045748351789510663, journalId=1155139928190095384, articleId=1159857688735703402, authorId=1162119824090390564, language=EN, stringName=Lihua Hou, firstName=Lihua, middleName=null, lastName=Hou, prefix=null, suffix=null, authorComment=null, nameInitials=null, affiliation=null, department=null, xref=*, address=Beijing Institute of Biotechnology, Beijing 100071, ChinaBeijing Institute of Biotechnology, Beijing 100071, China, bio=null, bioImg=null, bioContent=null, aboutCorrespAuthor=null), CN=AuthorExt(id=1162119824375603239, tenantId=1045748351789510663, journalId=1155139928190095384, articleId=1159857688735703402, authorId=1162119824090390564, language=CN, stringName=侯利华, firstName=null, middleName=null, lastName=null, prefix=null, suffix=null, authorComment=null, nameInitials=null, affiliation=null, department=null, xref=*, address=Beijing Institute of Biotechnology, Beijing 100071, ChinaBeijing Institute of Biotechnology, Beijing 100071, China, bio=null, bioImg=null, bioContent=null, aboutCorrespAuthor=null)}, companyList=null), Author(id=1162119824501432361, tenantId=1045748351789510663, journalId=1155139928190095384, articleId=1159857688735703402, orderNo=11, firstName=null, middleName=null, lastName=null, nameCn=null, orcid=null, stid=null, country=null, authorPic=null, dead=0, email=xujunjie@sina.com, emailSecond=null, emailThird=null, correspondingAuthor=1, authorType=1, ext={EN=AuthorExt(id=1162119824665010219, tenantId=1045748351789510663, journalId=1155139928190095384, articleId=1159857688735703402, authorId=1162119824501432361, language=EN, stringName=Junjie Xu, firstName=Junjie, middleName=null, lastName=Xu, prefix=null, suffix=null, authorComment=null, nameInitials=null, affiliation=null, department=null, xref=*, address=Beijing Institute of Biotechnology, Beijing 100071, ChinaBeijing Institute of Biotechnology, Beijing 100071, China, bio=null, bioImg=null, bioContent=null, aboutCorrespAuthor=null), CN=AuthorExt(id=1162119824786645036, tenantId=1045748351789510663, journalId=1155139928190095384, articleId=1159857688735703402, authorId=1162119824501432361, language=CN, stringName=徐俊杰, firstName=null, middleName=null, lastName=null, prefix=null, suffix=null, authorComment=null, nameInitials=null, affiliation=null, department=null, xref=*, address=Beijing Institute of Biotechnology, Beijing 100071, ChinaBeijing Institute of Biotechnology, Beijing 100071, China, bio=null, bioImg=null, bioContent=null, aboutCorrespAuthor=null)}, companyList=null), Author(id=1162119824912474158, tenantId=1045748351789510663, journalId=1155139928190095384, articleId=1159857688735703402, orderNo=12, firstName=null, middleName=null, lastName=null, nameCn=null, orcid=null, stid=null, country=null, authorPic=null, dead=0, email=cw0226@foxmail.com, emailSecond=null, emailThird=null, correspondingAuthor=1, authorType=1, ext={EN=AuthorExt(id=1162119825076052016, tenantId=1045748351789510663, journalId=1155139928190095384, articleId=1159857688735703402, authorId=1162119824912474158, language=EN, stringName=Wei Chen, firstName=Wei, middleName=null, lastName=Chen, prefix=null, suffix=null, authorComment=null, nameInitials=null, affiliation=null, department=null, xref=*, address=Beijing Institute of Biotechnology, Beijing 100071, ChinaBeijing Institute of Biotechnology, Beijing 100071, China, bio=null, bioImg=null, bioContent=null, aboutCorrespAuthor=null), CN=AuthorExt(id=1162119825201881137, tenantId=1045748351789510663, journalId=1155139928190095384, articleId=1159857688735703402, authorId=1162119824912474158, language=CN, stringName=陈薇, firstName=null, middleName=null, lastName=null, prefix=null, suffix=null, authorComment=null, nameInitials=null, affiliation=null, department=null, xref=*, address=Beijing Institute of Biotechnology, Beijing 100071, ChinaBeijing Institute of Biotechnology, Beijing 100071, China, bio=null, bioImg=null, bioContent=null, aboutCorrespAuthor=null)}, companyList=null)] Yilong Yang , Shipo Wu , Yudong Wang , Fangze Shao , Peng Lv , Ruihua Li , Xiaofan Zhao , Jun Zhang , Xiaopeng Zhang , Jianmin Li , Lihua Hou , Junjie Xu , Wei Chen

    Nowadays, there has been a growing trend in the field of high-energy physics (HEP), in both its experimental and phenomenological studies, to incorporate machine learning (ML) and its specialized branch, deep learning (DL). This review paper provides a thorough illustration of these applications using different ML and DL approaches. The first part of the paper examines the basics of various particle physics types and establishes guidelines for assessing particle physics alongside the available learning models. Next, a detailed classification is provided for representing Jets that are reconstructed in high-energy collisions, mainly in proton-proton collisions at well-defined beam energies. This section covers various datasets, preprocessing techniques, and feature extraction and selection methods. The presented techniques can be applied to future hadron−hadron colliders (HHC), such as the high-luminosity LHC (HL-LHC) and the future circular collider−hadron−hadron (FCC-hh). The authors then explore several AI techniques analyses designed specifically for both image and point-cloud (PC) data in HEP. Additionally, a closer look is taken at the classification associated with Jet tagging in hadron collisions. In this review, various state-of-the-art (SOTA) techniques in ML and DL are examined, with a focus on their implications for HEP demands. More precisely, this discussion addresses various applications in extensive detail, such as Jet tagging, Jet tracking, and particle classification. The review concludes with an analysis of the current state of HEP using DL methodologies. It highlights the challenges and potential areas for future research, which are illustrated for each application.

  • Article
    Analyzing the Effect of the Intra-Pixel Position of Small PSFs for Optimizing the PL of Optical Subpixel Localization
    [Author(id=1162119841832296740, tenantId=1045748351789510663, journalId=1155139928190095384, articleId=1159858066399224780, orderNo=0, firstName=null, middleName=null, lastName=null, nameCn=null, orcid=null, stid=null, country=null, authorPic=null, dead=0, email=null, emailSecond=null, emailThird=null, correspondingAuthor=0, authorType=1, ext={EN=AuthorExt(id=1162119842075566379, tenantId=1045748351789510663, journalId=1155139928190095384, articleId=1159858066399224780, authorId=1162119841832296740, language=EN, stringName=Haiyang Zhan, firstName=Haiyang, middleName=null, lastName=Zhan, prefix=null, suffix=null, authorComment=null, nameInitials=null, affiliation=null, department=null, xref=a, b, c, address=aDepartment of Precision Instrument, Tsinghua University, Beijing 100084, China
    bState Key Laboratory of Precision Measurement Technology and Instruments, Tsinghua University, Beijing 100084, China
    cBeijing Advanced Innovation Center for Integrated Circuits, Tsinghua University, Beijing 100084, China, bio=null, bioImg=null, bioContent=null, aboutCorrespAuthor=null), CN=AuthorExt(id=1162119842193006894, tenantId=1045748351789510663, journalId=1155139928190095384, articleId=1159858066399224780, authorId=1162119841832296740, language=CN, stringName=战海洋, firstName=null, middleName=null, lastName=null, prefix=null, suffix=null, authorComment=null, nameInitials=null, affiliation=null, department=null, xref=a, b, c, address=aDepartment of Precision Instrument, Tsinghua University, Beijing 100084, China
    bState Key Laboratory of Precision Measurement Technology and Instruments, Tsinghua University, Beijing 100084, China
    cBeijing Advanced Innovation Center for Integrated Circuits, Tsinghua University, Beijing 100084, China, bio=null, bioImg=null, bioContent=null, aboutCorrespAuthor=null)}, companyList=null), Author(id=1162119842310447410, tenantId=1045748351789510663, journalId=1155139928190095384, articleId=1159858066399224780, orderNo=1, firstName=null, middleName=null, lastName=null, nameCn=null, orcid=null, stid=null, country=null, authorPic=null, dead=0, email=xingfei@mail.tsinghua.edu.cn, emailSecond=null, emailThird=null, correspondingAuthor=1, authorType=1, ext={EN=AuthorExt(id=1162119842528551224, tenantId=1045748351789510663, journalId=1155139928190095384, articleId=1159858066399224780, authorId=1162119842310447410, language=EN, stringName=Fei Xing, firstName=Fei, middleName=null, lastName=Xing, prefix=null, suffix=null, authorComment=null, nameInitials=null, affiliation=null, department=null, xref=a, b, c, *, address=aDepartment of Precision Instrument, Tsinghua University, Beijing 100084, China
    bState Key Laboratory of Precision Measurement Technology and Instruments, Tsinghua University, Beijing 100084, China
    cBeijing Advanced Innovation Center for Integrated Circuits, Tsinghua University, Beijing 100084, China, bio=null, bioImg=null, bioContent=null, aboutCorrespAuthor=null), CN=AuthorExt(id=1162119842637603130, tenantId=1045748351789510663, journalId=1155139928190095384, articleId=1159858066399224780, authorId=1162119842310447410, language=CN, stringName=邢飞, firstName=null, middleName=null, lastName=null, prefix=null, suffix=null, authorComment=null, nameInitials=null, affiliation=null, department=null, xref=a, b, c, *, address=aDepartment of Precision Instrument, Tsinghua University, Beijing 100084, China
    bState Key Laboratory of Precision Measurement Technology and Instruments, Tsinghua University, Beijing 100084, China
    cBeijing Advanced Innovation Center for Integrated Circuits, Tsinghua University, Beijing 100084, China, bio=null, bioImg=null, bioContent=null, aboutCorrespAuthor=null)}, companyList=null), Author(id=1162119842750849344, tenantId=1045748351789510663, journalId=1155139928190095384, articleId=1159858066399224780, orderNo=2, firstName=null, middleName=null, lastName=null, nameCn=null, orcid=null, stid=null, country=null, authorPic=null, dead=0, email=null, emailSecond=null, emailThird=null, correspondingAuthor=0, authorType=1, ext={EN=AuthorExt(id=1162119842973147468, tenantId=1045748351789510663, journalId=1155139928190095384, articleId=1159858066399224780, authorId=1162119842750849344, language=EN, stringName=Jingyu Bao, firstName=Jingyu, middleName=null, lastName=Bao, prefix=null, suffix=null, authorComment=null, nameInitials=null, affiliation=null, department=null, xref=a, b, c, address=aDepartment of Precision Instrument, Tsinghua University, Beijing 100084, China
    bState Key Laboratory of Precision Measurement Technology and Instruments, Tsinghua University, Beijing 100084, China
    cBeijing Advanced Innovation Center for Integrated Circuits, Tsinghua University, Beijing 100084, China, bio=null, bioImg=null, bioContent=null, aboutCorrespAuthor=null), CN=AuthorExt(id=1162119843094782287, tenantId=1045748351789510663, journalId=1155139928190095384, articleId=1159858066399224780, authorId=1162119842750849344, language=CN, stringName=宝竞宇, firstName=null, middleName=null, lastName=null, prefix=null, suffix=null, authorComment=null, nameInitials=null, affiliation=null, department=null, xref=a, b, c, address=aDepartment of Precision Instrument, Tsinghua University, Beijing 100084, China
    bState Key Laboratory of Precision Measurement Technology and Instruments, Tsinghua University, Beijing 100084, China
    cBeijing Advanced Innovation Center for Integrated Circuits, Tsinghua University, Beijing 100084, China, bio=null, bioImg=null, bioContent=null, aboutCorrespAuthor=null)}, companyList=null), Author(id=1162119843220611411, tenantId=1045748351789510663, journalId=1155139928190095384, articleId=1159858066399224780, orderNo=3, firstName=null, middleName=null, lastName=null, nameCn=null, orcid=null, stid=null, country=null, authorPic=null, dead=0, email=null, emailSecond=null, emailThird=null, correspondingAuthor=0, authorType=1, ext={EN=AuthorExt(id=1162119843379994967, tenantId=1045748351789510663, journalId=1155139928190095384, articleId=1159858066399224780, authorId=1162119843220611411, language=EN, stringName=Ting Sun, firstName=Ting, middleName=null, lastName=Sun, prefix=null, suffix=null, authorComment=null, nameInitials=null, affiliation=null, department=null, xref=d, address=dJoint International Research Laboratory of Advanced Photonics and Electronics, Beijing Information Science & Technology University, Beijing 100192, China, bio=null, bioImg=null, bioContent=null, aboutCorrespAuthor=null), CN=AuthorExt(id=1162119843501629786, tenantId=1045748351789510663, journalId=1155139928190095384, articleId=1159858066399224780, authorId=1162119843220611411, language=CN, stringName=孙婷, firstName=null, middleName=null, lastName=null, prefix=null, suffix=null, authorComment=null, nameInitials=null, affiliation=null, department=null, xref=d, address=dJoint International Research Laboratory of Advanced Photonics and Electronics, Beijing Information Science & Technology University, Beijing 100192, China, bio=null, bioImg=null, bioContent=null, aboutCorrespAuthor=null)}, companyList=null), Author(id=1162119843606487389, tenantId=1045748351789510663, journalId=1155139928190095384, articleId=1159858066399224780, orderNo=4, firstName=null, middleName=null, lastName=null, nameCn=null, orcid=null, stid=null, country=null, authorPic=null, dead=0, email=null, emailSecond=null, emailThird=null, correspondingAuthor=0, authorType=1, ext={EN=AuthorExt(id=1162119843828785508, tenantId=1045748351789510663, journalId=1155139928190095384, articleId=1159858066399224780, authorId=1162119843606487389, language=EN, stringName=Zhenzhen Chen, firstName=Zhenzhen, middleName=null, lastName=Chen, prefix=null, suffix=null, authorComment=null, nameInitials=null, affiliation=null, department=null, xref=a, b, c, address=aDepartment of Precision Instrument, Tsinghua University, Beijing 100084, China
    bState Key Laboratory of Precision Measurement Technology and Instruments, Tsinghua University, Beijing 100084, China
    cBeijing Advanced Innovation Center for Integrated Circuits, Tsinghua University, Beijing 100084, China, bio=null, bioImg=null, bioContent=null, aboutCorrespAuthor=null), CN=AuthorExt(id=1162119843942031721, tenantId=1045748351789510663, journalId=1155139928190095384, articleId=1159858066399224780, authorId=1162119843606487389, language=CN, stringName=陈真真, firstName=null, middleName=null, lastName=null, prefix=null, suffix=null, authorComment=null, nameInitials=null, affiliation=null, department=null, xref=a, b, c, address=aDepartment of Precision Instrument, Tsinghua University, Beijing 100084, China
    bState Key Laboratory of Precision Measurement Technology and Instruments, Tsinghua University, Beijing 100084, China
    cBeijing Advanced Innovation Center for Integrated Circuits, Tsinghua University, Beijing 100084, China, bio=null, bioImg=null, bioContent=null, aboutCorrespAuthor=null)}, companyList=null), Author(id=1162119844051083634, tenantId=1045748351789510663, journalId=1155139928190095384, articleId=1159858066399224780, orderNo=5, firstName=null, middleName=null, lastName=null, nameCn=null, orcid=null, stid=null, country=null, authorPic=null, dead=0, email=yz-dpi@mail.tsinghua.edu.cn, emailSecond=null, emailThird=null, correspondingAuthor=1, authorType=1, ext={EN=AuthorExt(id=1162119844273381755, tenantId=1045748351789510663, journalId=1155139928190095384, articleId=1159858066399224780, authorId=1162119844051083634, language=EN, stringName=Zheng You, firstName=Zheng, middleName=null, lastName=You, prefix=null, suffix=null, authorComment=null, nameInitials=null, affiliation=null, department=null, xref=a, b, c, *, address=aDepartment of Precision Instrument, Tsinghua University, Beijing 100084, China
    bState Key Laboratory of Precision Measurement Technology and Instruments, Tsinghua University, Beijing 100084, China
    cBeijing Advanced Innovation Center for Integrated Circuits, Tsinghua University, Beijing 100084, China, bio=null, bioImg=null, bioContent=null, aboutCorrespAuthor=null), CN=AuthorExt(id=1162119844390822270, tenantId=1045748351789510663, journalId=1155139928190095384, articleId=1159858066399224780, authorId=1162119844051083634, language=CN, stringName=尤政, firstName=null, middleName=null, lastName=null, prefix=null, suffix=null, authorComment=null, nameInitials=null, affiliation=null, department=null, xref=a, b, c, *, address=aDepartment of Precision Instrument, Tsinghua University, Beijing 100084, China
    bState Key Laboratory of Precision Measurement Technology and Instruments, Tsinghua University, Beijing 100084, China
    cBeijing Advanced Innovation Center for Integrated Circuits, Tsinghua University, Beijing 100084, China, bio=null, bioImg=null, bioContent=null, aboutCorrespAuthor=null)}, companyList=null), Author(id=1162119844512457095, tenantId=1045748351789510663, journalId=1155139928190095384, articleId=1159858066399224780, orderNo=6, firstName=null, middleName=null, lastName=null, nameCn=null, orcid=null, stid=null, country=null, authorPic=null, dead=0, email=null, emailSecond=null, emailThird=null, correspondingAuthor=0, authorType=1, ext={EN=AuthorExt(id=1162119844676034958, tenantId=1045748351789510663, journalId=1155139928190095384, articleId=1159858066399224780, authorId=1162119844512457095, language=EN, stringName=Li Yuan, firstName=Li, middleName=null, lastName=Yuan, prefix=null, suffix=null, authorComment=null, nameInitials=null, affiliation=null, department=null, xref=e, address=eBeijing Institute of Control Engineering, Beijing 100190, China, bio=null, bioImg=null, bioContent=null, aboutCorrespAuthor=null), CN=AuthorExt(id=1162119844793475475, tenantId=1045748351789510663, journalId=1155139928190095384, articleId=1159858066399224780, authorId=1162119844512457095, language=CN, stringName=袁利, firstName=null, middleName=null, lastName=null, prefix=null, suffix=null, authorComment=null, nameInitials=null, affiliation=null, department=null, xref=e, address=eBeijing Institute of Control Engineering, Beijing 100190, China, bio=null, bioImg=null, bioContent=null, aboutCorrespAuthor=null)}, companyList=null)]
    Haiyang Zhan , Fei Xing , Jingyu Bao , Ting Sun , Zhenzhen Chen , Zheng You , Li Yuan

    Nowadays, there has been a growing trend in the field of high-energy physics (HEP), in both its experimental and phenomenological studies, to incorporate machine learning (ML) and its specialized branch, deep learning (DL). This review paper provides a thorough illustration of these applications using different ML and DL approaches. The first part of the paper examines the basics of various particle physics types and establishes guidelines for assessing particle physics alongside the available learning models. Next, a detailed classification is provided for representing Jets that are reconstructed in high-energy collisions, mainly in proton-proton collisions at well-defined beam energies. This section covers various datasets, preprocessing techniques, and feature extraction and selection methods. The presented techniques can be applied to future hadron−hadron colliders (HHC), such as the high-luminosity LHC (HL-LHC) and the future circular collider−hadron−hadron (FCC-hh). The authors then explore several AI techniques analyses designed specifically for both image and point-cloud (PC) data in HEP. Additionally, a closer look is taken at the classification associated with Jet tagging in hadron collisions. In this review, various state-of-the-art (SOTA) techniques in ML and DL are examined, with a focus on their implications for HEP demands. More precisely, this discussion addresses various applications in extensive detail, such as Jet tagging, Jet tracking, and particle classification. The review concludes with an analysis of the current state of HEP using DL methodologies. It highlights the challenges and potential areas for future research, which are illustrated for each application.

  • Article
    Adverse Geology Identification Through Mineral Anomaly Analysis During Tunneling: Methodology and Case Study
    [Author(id=1162119888988856740, tenantId=1045748351789510663, journalId=1155139928190095384, articleId=1159858645452251682, orderNo=0, firstName=null, middleName=null, lastName=null, nameCn=null, orcid=null, stid=null, country=null, authorPic=null, dead=0, email=null, emailSecond=null, emailThird=null, correspondingAuthor=0, authorType=1, ext={EN=AuthorExt(id=1162119889173406125, tenantId=1045748351789510663, journalId=1155139928190095384, articleId=1159858645452251682, authorId=1162119888988856740, language=EN, stringName=Zhenhao Xu, firstName=Zhenhao, middleName=null, lastName=Xu, prefix=null, suffix=null, authorComment=null, nameInitials=null, affiliation=null, department=null, xref=a, c, address=aGeotechnical and Structural Engineering Research Center, Shandong University, Jinan 250061, China
    cSchool of Qilu Transportation, Shandong University, Jinan 250002, China, bio=null, bioImg=null, bioContent=null, aboutCorrespAuthor=null), CN=AuthorExt(id=1162119889286652334, tenantId=1045748351789510663, journalId=1155139928190095384, articleId=1159858645452251682, authorId=1162119888988856740, language=CN, stringName=许振浩, firstName=null, middleName=null, lastName=null, prefix=null, suffix=null, authorComment=null, nameInitials=null, affiliation=null, department=null, xref=a, c, address=aGeotechnical and Structural Engineering Research Center, Shandong University, Jinan 250061, China
    cSchool of Qilu Transportation, Shandong University, Jinan 250002, China, bio=null, bioImg=null, bioContent=null, aboutCorrespAuthor=null)}, companyList=null), Author(id=1162119889404092850, tenantId=1045748351789510663, journalId=1155139928190095384, articleId=1159858645452251682, orderNo=1, firstName=null, middleName=null, lastName=null, nameCn=null, orcid=null, stid=null, country=null, authorPic=null, dead=0, email=null, emailSecond=null, emailThird=null, correspondingAuthor=0, authorType=1, ext={EN=AuthorExt(id=1162119889588642229, tenantId=1045748351789510663, journalId=1155139928190095384, articleId=1159858645452251682, authorId=1162119889404092850, language=EN, stringName=Tengfei Yu, firstName=Tengfei, middleName=null, lastName=Yu, prefix=null, suffix=null, authorComment=null, nameInitials=null, affiliation=null, department=null, xref=a, b, address=aGeotechnical and Structural Engineering Research Center, Shandong University, Jinan 250061, China
    bSchool of Civil Engineering, Shandong University, Jinan 250061, China, bio=null, bioImg=null, bioContent=null, aboutCorrespAuthor=null), CN=AuthorExt(id=1162119889701888438, tenantId=1045748351789510663, journalId=1155139928190095384, articleId=1159858645452251682, authorId=1162119889404092850, language=CN, stringName=余腾飞, firstName=null, middleName=null, lastName=null, prefix=null, suffix=null, authorComment=null, nameInitials=null, affiliation=null, department=null, xref=a, b, address=aGeotechnical and Structural Engineering Research Center, Shandong University, Jinan 250061, China
    bSchool of Civil Engineering, Shandong University, Jinan 250061, China, bio=null, bioImg=null, bioContent=null, aboutCorrespAuthor=null)}, companyList=null), Author(id=1162119889815134648, tenantId=1045748351789510663, journalId=1155139928190095384, articleId=1159858645452251682, orderNo=2, firstName=null, middleName=null, lastName=null, nameCn=null, orcid=null, stid=null, country=null, authorPic=null, dead=0, email=null, emailSecond=null, emailThird=null, correspondingAuthor=0, authorType=1, ext={EN=AuthorExt(id=1162119889999684032, tenantId=1045748351789510663, journalId=1155139928190095384, articleId=1159858645452251682, authorId=1162119889815134648, language=EN, stringName=Peng Lin, firstName=Peng, middleName=null, lastName=Lin, prefix=null, suffix=null, authorComment=null, nameInitials=null, affiliation=null, department=null, xref=a, c, address=aGeotechnical and Structural Engineering Research Center, Shandong University, Jinan 250061, China
    cSchool of Qilu Transportation, Shandong University, Jinan 250002, China, bio=null, bioImg=null, bioContent=null, aboutCorrespAuthor=null), CN=AuthorExt(id=1162119890112930245, tenantId=1045748351789510663, journalId=1155139928190095384, articleId=1159858645452251682, authorId=1162119889815134648, language=CN, stringName=林鹏, firstName=null, middleName=null, lastName=null, prefix=null, suffix=null, authorComment=null, nameInitials=null, affiliation=null, department=null, xref=a, c, address=aGeotechnical and Structural Engineering Research Center, Shandong University, Jinan 250061, China
    cSchool of Qilu Transportation, Shandong University, Jinan 250002, China, bio=null, bioImg=null, bioContent=null, aboutCorrespAuthor=null)}, companyList=null), Author(id=1162119890221982152, tenantId=1045748351789510663, journalId=1155139928190095384, articleId=1159858645452251682, orderNo=3, firstName=null, middleName=null, lastName=null, nameCn=null, orcid=null, stid=null, country=null, authorPic=null, dead=0, email=lishucai@sdu.edu.cn, emailSecond=null, emailThird=null, correspondingAuthor=1, authorType=1, ext={EN=AuthorExt(id=1162119890461057491, tenantId=1045748351789510663, journalId=1155139928190095384, articleId=1159858645452251682, authorId=1162119890221982152, language=EN, stringName=Shucai Li, firstName=Shucai, middleName=null, lastName=Li, prefix=null, suffix=null, authorComment=null, nameInitials=null, affiliation=null, department=null, xref=a, b, c, *, address=aGeotechnical and Structural Engineering Research Center, Shandong University, Jinan 250061, China
    bSchool of Civil Engineering, Shandong University, Jinan 250061, China
    cSchool of Qilu Transportation, Shandong University, Jinan 250002, China, bio=null, bioImg=null, bioContent=null, aboutCorrespAuthor=null), CN=AuthorExt(id=1162119890574303704, tenantId=1045748351789510663, journalId=1155139928190095384, articleId=1159858645452251682, authorId=1162119890221982152, language=CN, stringName=李术才, firstName=null, middleName=null, lastName=null, prefix=null, suffix=null, authorComment=null, nameInitials=null, affiliation=null, department=null, xref=a, b, c, *, address=aGeotechnical and Structural Engineering Research Center, Shandong University, Jinan 250061, China
    bSchool of Civil Engineering, Shandong University, Jinan 250061, China
    cSchool of Qilu Transportation, Shandong University, Jinan 250002, China, bio=null, bioImg=null, bioContent=null, aboutCorrespAuthor=null)}, companyList=null)]
    Zhenhao Xu , Tengfei Yu , Peng Lin , Shucai Li

    Nowadays, there has been a growing trend in the field of high-energy physics (HEP), in both its experimental and phenomenological studies, to incorporate machine learning (ML) and its specialized branch, deep learning (DL). This review paper provides a thorough illustration of these applications using different ML and DL approaches. The first part of the paper examines the basics of various particle physics types and establishes guidelines for assessing particle physics alongside the available learning models. Next, a detailed classification is provided for representing Jets that are reconstructed in high-energy collisions, mainly in proton-proton collisions at well-defined beam energies. This section covers various datasets, preprocessing techniques, and feature extraction and selection methods. The presented techniques can be applied to future hadron−hadron colliders (HHC), such as the high-luminosity LHC (HL-LHC) and the future circular collider−hadron−hadron (FCC-hh). The authors then explore several AI techniques analyses designed specifically for both image and point-cloud (PC) data in HEP. Additionally, a closer look is taken at the classification associated with Jet tagging in hadron collisions. In this review, various state-of-the-art (SOTA) techniques in ML and DL are examined, with a focus on their implications for HEP demands. More precisely, this discussion addresses various applications in extensive detail, such as Jet tagging, Jet tracking, and particle classification. The review concludes with an analysis of the current state of HEP using DL methodologies. It highlights the challenges and potential areas for future research, which are illustrated for each application.

  • Article
    Image-Aided Analysis of Ballast Particle Movement Along a High-Speed Railway
    [Author(id=1162119578790716332, tenantId=1045748351789510663, journalId=1155139928190095384, articleId=1159852956839371050, orderNo=0, firstName=null, middleName=null, lastName=null, nameCn=null, orcid=null, stid=null, country=null, authorPic=null, dead=0, email=null, emailSecond=null, emailThird=null, correspondingAuthor=0, authorType=1, ext={EN=AuthorExt(id=1162119578954294190, tenantId=1045748351789510663, journalId=1155139928190095384, articleId=1159852956839371050, authorId=1162119578790716332, language=EN, stringName=Xuecheng Bian, firstName=Xuecheng, middleName=null, lastName=Bian, prefix=null, suffix=null, authorComment=null, nameInitials=null, affiliation=null, department=null, xref=a, address=aKey Laboratory of Soft Soils and Geoenvironmental Engineering, Ministry of Education, Department of Civil Engineering, Zhejiang University, Hangzhou 310058, China, bio=null, bioImg=null, bioContent=null, aboutCorrespAuthor=null), CN=AuthorExt(id=1162119579080123311, tenantId=1045748351789510663, journalId=1155139928190095384, articleId=1159852956839371050, authorId=1162119578790716332, language=CN, stringName=边学成, firstName=null, middleName=null, lastName=null, prefix=null, suffix=null, authorComment=null, nameInitials=null, affiliation=null, department=null, xref=a, address=aKey Laboratory of Soft Soils and Geoenvironmental Engineering, Ministry of Education, Department of Civil Engineering, Zhejiang University, Hangzhou 310058, China, bio=null, bioImg=null, bioContent=null, aboutCorrespAuthor=null)}, companyList=null), Author(id=1162119579210146737, tenantId=1045748351789510663, journalId=1155139928190095384, articleId=1159852956839371050, orderNo=1, firstName=null, middleName=null, lastName=null, nameCn=null, orcid=null, stid=null, country=null, authorPic=null, dead=0, email=null, emailSecond=null, emailThird=null, correspondingAuthor=0, authorType=1, ext={EN=AuthorExt(id=1162119579377918899, tenantId=1045748351789510663, journalId=1155139928190095384, articleId=1159852956839371050, authorId=1162119579210146737, language=EN, stringName=Wenqing Cai, firstName=Wenqing, middleName=null, lastName=Cai, prefix=null, suffix=null, authorComment=null, nameInitials=null, affiliation=null, department=null, xref=a, address=aKey Laboratory of Soft Soils and Geoenvironmental Engineering, Ministry of Education, Department of Civil Engineering, Zhejiang University, Hangzhou 310058, China, bio=null, bioImg=null, bioContent=null, aboutCorrespAuthor=null), CN=AuthorExt(id=1162119579503748020, tenantId=1045748351789510663, journalId=1155139928190095384, articleId=1159852956839371050, authorId=1162119579210146737, language=CN, stringName=蔡文清, firstName=null, middleName=null, lastName=null, prefix=null, suffix=null, authorComment=null, nameInitials=null, affiliation=null, department=null, xref=a, address=aKey Laboratory of Soft Soils and Geoenvironmental Engineering, Ministry of Education, Department of Civil Engineering, Zhejiang University, Hangzhou 310058, China, bio=null, bioImg=null, bioContent=null, aboutCorrespAuthor=null)}, companyList=null), Author(id=1162119579629577142, tenantId=1045748351789510663, journalId=1155139928190095384, articleId=1159852956839371050, orderNo=2, firstName=null, middleName=null, lastName=null, nameCn=null, orcid=null, stid=null, country=null, authorPic=null, dead=0, email=null, emailSecond=null, emailThird=null, correspondingAuthor=0, authorType=1, ext={EN=AuthorExt(id=1162119579801543608, tenantId=1045748351789510663, journalId=1155139928190095384, articleId=1159852956839371050, authorId=1162119579629577142, language=EN, stringName=Zheng Luo, firstName=Zheng, middleName=null, lastName=Luo, prefix=null, suffix=null, authorComment=null, nameInitials=null, affiliation=null, department=null, xref=a, address=aKey Laboratory of Soft Soils and Geoenvironmental Engineering, Ministry of Education, Department of Civil Engineering, Zhejiang University, Hangzhou 310058, China, bio=null, bioImg=null, bioContent=null, aboutCorrespAuthor=null), CN=AuthorExt(id=1162119579927372729, tenantId=1045748351789510663, journalId=1155139928190095384, articleId=1159852956839371050, authorId=1162119579629577142, language=CN, stringName=罗政, firstName=null, middleName=null, lastName=null, prefix=null, suffix=null, authorComment=null, nameInitials=null, affiliation=null, department=null, xref=a, address=aKey Laboratory of Soft Soils and Geoenvironmental Engineering, Ministry of Education, Department of Civil Engineering, Zhejiang University, Hangzhou 310058, China, bio=null, bioImg=null, bioContent=null, aboutCorrespAuthor=null)}, companyList=null), Author(id=1162119580053201851, tenantId=1045748351789510663, journalId=1155139928190095384, articleId=1159852956839371050, orderNo=3, firstName=null, middleName=null, lastName=null, nameCn=null, orcid=null, stid=null, country=null, authorPic=null, dead=0, email=zhaochuang@zju.edu.cn, emailSecond=null, emailThird=null, correspondingAuthor=1, authorType=1, ext={EN=AuthorExt(id=1162119580216779709, tenantId=1045748351789510663, journalId=1155139928190095384, articleId=1159852956839371050, authorId=1162119580053201851, language=EN, stringName=Chuang Zhao, firstName=Chuang, middleName=null, lastName=Zhao, prefix=null, suffix=null, authorComment=null, nameInitials=null, affiliation=null, department=null, xref=b, *, address=bCenter for Hypergravity Experimental and Interdisciplinary Research, Zhejiang University, Hangzhou 310058, China, bio=null, bioImg=null, bioContent=null, aboutCorrespAuthor=null), CN=AuthorExt(id=1162119580346803134, tenantId=1045748351789510663, journalId=1155139928190095384, articleId=1159852956839371050, authorId=1162119580053201851, language=CN, stringName=赵闯, firstName=null, middleName=null, lastName=null, prefix=null, suffix=null, authorComment=null, nameInitials=null, affiliation=null, department=null, xref=b, *, address=bCenter for Hypergravity Experimental and Interdisciplinary Research, Zhejiang University, Hangzhou 310058, China, bio=null, bioImg=null, bioContent=null, aboutCorrespAuthor=null)}, companyList=null), Author(id=1162119580468437952, tenantId=1045748351789510663, journalId=1155139928190095384, articleId=1159852956839371050, orderNo=4, firstName=null, middleName=null, lastName=null, nameCn=null, orcid=null, stid=null, country=null, authorPic=null, dead=0, email=null, emailSecond=null, emailThird=null, correspondingAuthor=0, authorType=1, ext={EN=AuthorExt(id=1162119580636210114, tenantId=1045748351789510663, journalId=1155139928190095384, articleId=1159852956839371050, authorId=1162119580468437952, language=EN, stringName=Yunmin Chen, firstName=Yunmin, middleName=null, lastName=Chen, prefix=null, suffix=null, authorComment=null, nameInitials=null, affiliation=null, department=null, xref=a, address=aKey Laboratory of Soft Soils and Geoenvironmental Engineering, Ministry of Education, Department of Civil Engineering, Zhejiang University, Hangzhou 310058, China, bio=null, bioImg=null, bioContent=null, aboutCorrespAuthor=null), CN=AuthorExt(id=1162119580766233539, tenantId=1045748351789510663, journalId=1155139928190095384, articleId=1159852956839371050, authorId=1162119580468437952, language=CN, stringName=陈云敏, firstName=null, middleName=null, lastName=null, prefix=null, suffix=null, authorComment=null, nameInitials=null, affiliation=null, department=null, xref=a, address=aKey Laboratory of Soft Soils and Geoenvironmental Engineering, Ministry of Education, Department of Civil Engineering, Zhejiang University, Hangzhou 310058, China, bio=null, bioImg=null, bioContent=null, aboutCorrespAuthor=null)}, companyList=null)] Xuecheng Bian , Wenqing Cai , Zheng Luo , Chuang Zhao , Yunmin Chen

    Nowadays, there has been a growing trend in the field of high-energy physics (HEP), in both its experimental and phenomenological studies, to incorporate machine learning (ML) and its specialized branch, deep learning (DL). This review paper provides a thorough illustration of these applications using different ML and DL approaches. The first part of the paper examines the basics of various particle physics types and establishes guidelines for assessing particle physics alongside the available learning models. Next, a detailed classification is provided for representing Jets that are reconstructed in high-energy collisions, mainly in proton-proton collisions at well-defined beam energies. This section covers various datasets, preprocessing techniques, and feature extraction and selection methods. The presented techniques can be applied to future hadron−hadron colliders (HHC), such as the high-luminosity LHC (HL-LHC) and the future circular collider−hadron−hadron (FCC-hh). The authors then explore several AI techniques analyses designed specifically for both image and point-cloud (PC) data in HEP. Additionally, a closer look is taken at the classification associated with Jet tagging in hadron collisions. In this review, various state-of-the-art (SOTA) techniques in ML and DL are examined, with a focus on their implications for HEP demands. More precisely, this discussion addresses various applications in extensive detail, such as Jet tagging, Jet tracking, and particle classification. The review concludes with an analysis of the current state of HEP using DL methodologies. It highlights the challenges and potential areas for future research, which are illustrated for each application.

  • Review
    Electrochemical Biorefinery toward Chemicals Synthesis and Bio-Oil Upgrading from Lignin
    [Author(id=1162119897843032663, tenantId=1045748351789510663, journalId=1155139928190095384, articleId=1159858362869408048, orderNo=0, firstName=null, middleName=null, lastName=null, nameCn=null, orcid=null, stid=null, country=null, authorPic=null, dead=0, email=null, emailSecond=null, emailThird=null, correspondingAuthor=0, authorType=1, ext={EN=AuthorExt(id=1162119898031776346, tenantId=1045748351789510663, journalId=1155139928190095384, articleId=1159858362869408048, authorId=1162119897843032663, language=EN, stringName=Rui Hu, firstName=Rui, middleName=null, lastName=Hu, prefix=null, suffix=null, authorComment=null, nameInitials=null, affiliation=null, department=null, xref=a, b, address=aShanghai Technical Service Platform for Pollution Control and Resource Utilization of Organic Wastes, Shanghai Key Laboratory of Atmospheric Particle Pollution and Prevention (LAP3), Department of Environmental Science and Engineering, Fudan University, Shanghai 200438, China
    bShanghai Institute of Pollution Control and Ecological Security, Shanghai, 200092, China, bio=null, bioImg=null, bioContent=null, aboutCorrespAuthor=null), CN=AuthorExt(id=1162119898145022555, tenantId=1045748351789510663, journalId=1155139928190095384, articleId=1159858362869408048, authorId=1162119897843032663, language=CN, stringName=胡锐, firstName=null, middleName=null, lastName=null, prefix=null, suffix=null, authorComment=null, nameInitials=null, affiliation=null, department=null, xref=a, b, address=aShanghai Technical Service Platform for Pollution Control and Resource Utilization of Organic Wastes, Shanghai Key Laboratory of Atmospheric Particle Pollution and Prevention (LAP3), Department of Environmental Science and Engineering, Fudan University, Shanghai 200438, China
    bShanghai Institute of Pollution Control and Ecological Security, Shanghai, 200092, China, bio=null, bioImg=null, bioContent=null, aboutCorrespAuthor=null)}, companyList=null), Author(id=1162119898262463069, tenantId=1045748351789510663, journalId=1155139928190095384, articleId=1159858362869408048, orderNo=1, firstName=null, middleName=null, lastName=null, nameCn=null, orcid=null, stid=null, country=null, authorPic=null, dead=0, email=null, emailSecond=null, emailThird=null, correspondingAuthor=0, authorType=1, ext={EN=AuthorExt(id=1162119898451206752, tenantId=1045748351789510663, journalId=1155139928190095384, articleId=1159858362869408048, authorId=1162119898262463069, language=EN, stringName=Yuying Zhao, firstName=Yuying, middleName=null, lastName=Zhao, prefix=null, suffix=null, authorComment=null, nameInitials=null, affiliation=null, department=null, xref=a, b, address=aShanghai Technical Service Platform for Pollution Control and Resource Utilization of Organic Wastes, Shanghai Key Laboratory of Atmospheric Particle Pollution and Prevention (LAP3), Department of Environmental Science and Engineering, Fudan University, Shanghai 200438, China
    bShanghai Institute of Pollution Control and Ecological Security, Shanghai, 200092, China, bio=null, bioImg=null, bioContent=null, aboutCorrespAuthor=null), CN=AuthorExt(id=1162119898564452961, tenantId=1045748351789510663, journalId=1155139928190095384, articleId=1159858362869408048, authorId=1162119898262463069, language=CN, stringName=赵玉莹, firstName=null, middleName=null, lastName=null, prefix=null, suffix=null, authorComment=null, nameInitials=null, affiliation=null, department=null, xref=a, b, address=aShanghai Technical Service Platform for Pollution Control and Resource Utilization of Organic Wastes, Shanghai Key Laboratory of Atmospheric Particle Pollution and Prevention (LAP3), Department of Environmental Science and Engineering, Fudan University, Shanghai 200438, China
    bShanghai Institute of Pollution Control and Ecological Security, Shanghai, 200092, China, bio=null, bioImg=null, bioContent=null, aboutCorrespAuthor=null)}, companyList=null), Author(id=1162119898681893475, tenantId=1045748351789510663, journalId=1155139928190095384, articleId=1159858362869408048, orderNo=2, firstName=null, middleName=null, lastName=null, nameCn=null, orcid=null, stid=null, country=null, authorPic=null, dead=0, email=null, emailSecond=null, emailThird=null, correspondingAuthor=0, authorType=1, ext={EN=AuthorExt(id=1162119898862248550, tenantId=1045748351789510663, journalId=1155139928190095384, articleId=1159858362869408048, authorId=1162119898681893475, language=EN, stringName=Chen Tang, firstName=Chen, middleName=null, lastName=Tang, prefix=null, suffix=null, authorComment=null, nameInitials=null, affiliation=null, department=null, xref=a, b, address=aShanghai Technical Service Platform for Pollution Control and Resource Utilization of Organic Wastes, Shanghai Key Laboratory of Atmospheric Particle Pollution and Prevention (LAP3), Department of Environmental Science and Engineering, Fudan University, Shanghai 200438, China
    bShanghai Institute of Pollution Control and Ecological Security, Shanghai, 200092, China, bio=null, bioImg=null, bioContent=null, aboutCorrespAuthor=null), CN=AuthorExt(id=1162119898988077671, tenantId=1045748351789510663, journalId=1155139928190095384, articleId=1159858362869408048, authorId=1162119898681893475, language=CN, stringName=唐晨, firstName=null, middleName=null, lastName=null, prefix=null, suffix=null, authorComment=null, nameInitials=null, affiliation=null, department=null, xref=a, b, address=aShanghai Technical Service Platform for Pollution Control and Resource Utilization of Organic Wastes, Shanghai Key Laboratory of Atmospheric Particle Pollution and Prevention (LAP3), Department of Environmental Science and Engineering, Fudan University, Shanghai 200438, China
    bShanghai Institute of Pollution Control and Ecological Security, Shanghai, 200092, China, bio=null, bioImg=null, bioContent=null, aboutCorrespAuthor=null)}, companyList=null), Author(id=1162119899101323881, tenantId=1045748351789510663, journalId=1155139928190095384, articleId=1159858362869408048, orderNo=3, firstName=null, middleName=null, lastName=null, nameCn=null, orcid=null, stid=null, country=null, authorPic=null, dead=0, email=null, emailSecond=null, emailThird=null, correspondingAuthor=0, authorType=1, ext={EN=AuthorExt(id=1162119899294261869, tenantId=1045748351789510663, journalId=1155139928190095384, articleId=1159858362869408048, authorId=1162119899101323881, language=EN, stringName=Yan Shi, firstName=Yan, middleName=null, lastName=Shi, prefix=null, suffix=null, authorComment=null, nameInitials=null, affiliation=null, department=null, xref=a, b, address=aShanghai Technical Service Platform for Pollution Control and Resource Utilization of Organic Wastes, Shanghai Key Laboratory of Atmospheric Particle Pollution and Prevention (LAP3), Department of Environmental Science and Engineering, Fudan University, Shanghai 200438, China
    bShanghai Institute of Pollution Control and Ecological Security, Shanghai, 200092, China, bio=null, bioImg=null, bioContent=null, aboutCorrespAuthor=null), CN=AuthorExt(id=1162119899403313777, tenantId=1045748351789510663, journalId=1155139928190095384, articleId=1159858362869408048, authorId=1162119899101323881, language=CN, stringName=石岩, firstName=null, middleName=null, lastName=null, prefix=null, suffix=null, authorComment=null, nameInitials=null, affiliation=null, department=null, xref=a, b, address=aShanghai Technical Service Platform for Pollution Control and Resource Utilization of Organic Wastes, Shanghai Key Laboratory of Atmospheric Particle Pollution and Prevention (LAP3), Department of Environmental Science and Engineering, Fudan University, Shanghai 200438, China
    bShanghai Institute of Pollution Control and Ecological Security, Shanghai, 200092, China, bio=null, bioImg=null, bioContent=null, aboutCorrespAuthor=null)}, companyList=null), Author(id=1162119899516559988, tenantId=1045748351789510663, journalId=1155139928190095384, articleId=1159858362869408048, orderNo=4, firstName=null, middleName=null, lastName=null, nameCn=null, orcid=null, stid=null, country=null, authorPic=null, dead=0, email=null, emailSecond=null, emailThird=null, correspondingAuthor=0, authorType=1, ext={EN=AuthorExt(id=1162119899701109367, tenantId=1045748351789510663, journalId=1155139928190095384, articleId=1159858362869408048, authorId=1162119899516559988, language=EN, stringName=Gang Luo, firstName=Gang, middleName=null, lastName=Luo, prefix=null, suffix=null, authorComment=null, nameInitials=null, affiliation=null, department=null, xref=a, b, address=aShanghai Technical Service Platform for Pollution Control and Resource Utilization of Organic Wastes, Shanghai Key Laboratory of Atmospheric Particle Pollution and Prevention (LAP3), Department of Environmental Science and Engineering, Fudan University, Shanghai 200438, China
    bShanghai Institute of Pollution Control and Ecological Security, Shanghai, 200092, China, bio=null, bioImg=null, bioContent=null, aboutCorrespAuthor=null), CN=AuthorExt(id=1162119899822744184, tenantId=1045748351789510663, journalId=1155139928190095384, articleId=1159858362869408048, authorId=1162119899516559988, language=CN, stringName=罗刚, firstName=null, middleName=null, lastName=null, prefix=null, suffix=null, authorComment=null, nameInitials=null, affiliation=null, department=null, xref=a, b, address=aShanghai Technical Service Platform for Pollution Control and Resource Utilization of Organic Wastes, Shanghai Key Laboratory of Atmospheric Particle Pollution and Prevention (LAP3), Department of Environmental Science and Engineering, Fudan University, Shanghai 200438, China
    bShanghai Institute of Pollution Control and Ecological Security, Shanghai, 200092, China, bio=null, bioImg=null, bioContent=null, aboutCorrespAuthor=null)}, companyList=null), Author(id=1162119899935990394, tenantId=1045748351789510663, journalId=1155139928190095384, articleId=1159858362869408048, orderNo=5, firstName=null, middleName=null, lastName=null, nameCn=null, orcid=null, stid=null, country=null, authorPic=null, dead=0, email=null, emailSecond=null, emailThird=null, correspondingAuthor=0, authorType=1, ext={EN=AuthorExt(id=1162119900091179644, tenantId=1045748351789510663, journalId=1155139928190095384, articleId=1159858362869408048, authorId=1162119899935990394, language=EN, stringName=Jiajun Fan, firstName=Jiajun, middleName=null, lastName=Fan, prefix=null, suffix=null, authorComment=null, nameInitials=null, affiliation=null, department=null, xref=c, address=cCirca Renewable Chemistry Institute, Green Chemistry Center of Excellence, Department of Chemistry, University of York, York, YO10 5DD, UK, bio=null, bioImg=null, bioContent=null, aboutCorrespAuthor=null), CN=AuthorExt(id=1162119900200231549, tenantId=1045748351789510663, journalId=1155139928190095384, articleId=1159858362869408048, authorId=1162119899935990394, language=CN, stringName=范佳珺, firstName=null, middleName=null, lastName=null, prefix=null, suffix=null, authorComment=null, nameInitials=null, affiliation=null, department=null, xref=c, address=cCirca Renewable Chemistry Institute, Green Chemistry Center of Excellence, Department of Chemistry, University of York, York, YO10 5DD, UK, bio=null, bioImg=null, bioContent=null, aboutCorrespAuthor=null)}, companyList=null), Author(id=1162119900309283455, tenantId=1045748351789510663, journalId=1155139928190095384, articleId=1159858362869408048, orderNo=6, firstName=null, middleName=null, lastName=null, nameCn=null, orcid=null, stid=null, country=null, authorPic=null, dead=0, email=null, emailSecond=null, emailThird=null, correspondingAuthor=0, authorType=1, ext={EN=AuthorExt(id=1162119900535775875, tenantId=1045748351789510663, journalId=1155139928190095384, articleId=1159858362869408048, authorId=1162119900309283455, language=EN, stringName=James H. Clark, firstName=James, middleName=null, lastName=H. Clark, prefix=null, suffix=null, authorComment=null, nameInitials=null, affiliation=null, department=null, xref=a, b, c, address=aShanghai Technical Service Platform for Pollution Control and Resource Utilization of Organic Wastes, Shanghai Key Laboratory of Atmospheric Particle Pollution and Prevention (LAP3), Department of Environmental Science and Engineering, Fudan University, Shanghai 200438, China
    bShanghai Institute of Pollution Control and Ecological Security, Shanghai, 200092, China
    cCirca Renewable Chemistry Institute, Green Chemistry Center of Excellence, Department of Chemistry, University of York, York, YO10 5DD, UK, bio=null, bioImg=null, bioContent=null, aboutCorrespAuthor=null), CN=AuthorExt(id=1162119900644827780, tenantId=1045748351789510663, journalId=1155139928190095384, articleId=1159858362869408048, authorId=1162119900309283455, language=CN, stringName=James H. Clark, firstName=null, middleName=null, lastName=null, prefix=null, suffix=null, authorComment=null, nameInitials=null, affiliation=null, department=null, xref=a, b, c, address=aShanghai Technical Service Platform for Pollution Control and Resource Utilization of Organic Wastes, Shanghai Key Laboratory of Atmospheric Particle Pollution and Prevention (LAP3), Department of Environmental Science and Engineering, Fudan University, Shanghai 200438, China
    bShanghai Institute of Pollution Control and Ecological Security, Shanghai, 200092, China
    cCirca Renewable Chemistry Institute, Green Chemistry Center of Excellence, Department of Chemistry, University of York, York, YO10 5DD, UK, bio=null, bioImg=null, bioContent=null, aboutCorrespAuthor=null)}, companyList=null), Author(id=1162119900762268294, tenantId=1045748351789510663, journalId=1155139928190095384, articleId=1159858362869408048, orderNo=7, firstName=null, middleName=null, lastName=null, nameCn=null, orcid=null, stid=null, country=null, authorPic=null, dead=0, email=zhangsc@fudan.edu.cn, emailSecond=null, emailThird=null, correspondingAuthor=1, authorType=1, ext={EN=AuthorExt(id=1162119900942623369, tenantId=1045748351789510663, journalId=1155139928190095384, articleId=1159858362869408048, authorId=1162119900762268294, language=EN, stringName=Shicheng Zhang, firstName=Shicheng, middleName=null, lastName=Zhang, prefix=null, suffix=null, authorComment=null, nameInitials=null, affiliation=null, department=null, xref=a, b, *, address=aShanghai Technical Service Platform for Pollution Control and Resource Utilization of Organic Wastes, Shanghai Key Laboratory of Atmospheric Particle Pollution and Prevention (LAP3), Department of Environmental Science and Engineering, Fudan University, Shanghai 200438, China
    bShanghai Institute of Pollution Control and Ecological Security, Shanghai, 200092, China, bio=null, bioImg=null, bioContent=null, aboutCorrespAuthor=null), CN=AuthorExt(id=1162119901055869578, tenantId=1045748351789510663, journalId=1155139928190095384, articleId=1159858362869408048, authorId=1162119900762268294, language=CN, stringName=张士成, firstName=null, middleName=null, lastName=null, prefix=null, suffix=null, authorComment=null, nameInitials=null, affiliation=null, department=null, xref=a, b, *, address=aShanghai Technical Service Platform for Pollution Control and Resource Utilization of Organic Wastes, Shanghai Key Laboratory of Atmospheric Particle Pollution and Prevention (LAP3), Department of Environmental Science and Engineering, Fudan University, Shanghai 200438, China
    bShanghai Institute of Pollution Control and Ecological Security, Shanghai, 200092, China, bio=null, bioImg=null, bioContent=null, aboutCorrespAuthor=null)}, companyList=null)]
    Rui Hu , Yuying Zhao , Chen Tang , Yan Shi , Gang Luo , Jiajun Fan , James H. Clark , Shicheng Zhang

    Nowadays, there has been a growing trend in the field of high-energy physics (HEP), in both its experimental and phenomenological studies, to incorporate machine learning (ML) and its specialized branch, deep learning (DL). This review paper provides a thorough illustration of these applications using different ML and DL approaches. The first part of the paper examines the basics of various particle physics types and establishes guidelines for assessing particle physics alongside the available learning models. Next, a detailed classification is provided for representing Jets that are reconstructed in high-energy collisions, mainly in proton-proton collisions at well-defined beam energies. This section covers various datasets, preprocessing techniques, and feature extraction and selection methods. The presented techniques can be applied to future hadron−hadron colliders (HHC), such as the high-luminosity LHC (HL-LHC) and the future circular collider−hadron−hadron (FCC-hh). The authors then explore several AI techniques analyses designed specifically for both image and point-cloud (PC) data in HEP. Additionally, a closer look is taken at the classification associated with Jet tagging in hadron collisions. In this review, various state-of-the-art (SOTA) techniques in ML and DL are examined, with a focus on their implications for HEP demands. More precisely, this discussion addresses various applications in extensive detail, such as Jet tagging, Jet tracking, and particle classification. The review concludes with an analysis of the current state of HEP using DL methodologies. It highlights the challenges and potential areas for future research, which are illustrated for each application.

  • Article
    An AuNPs/Mesoporous NiO/Nickel Foam Nanocomposite as a Miniaturized Electrode for Heavy Metal Detection in Groundwater
    [Author(id=1162119443608297750, tenantId=1045748351789510663, journalId=1155139928190095384, articleId=1159850624076538350, orderNo=0, firstName=null, middleName=null, lastName=null, nameCn=null, orcid=null, stid=null, country=null, authorPic=null, dead=0, email=null, emailSecond=null, emailThird=null, correspondingAuthor=0, authorType=1, ext={EN=AuthorExt(id=1162119443750904093, tenantId=1045748351789510663, journalId=1155139928190095384, articleId=1159850624076538350, authorId=1162119443608297750, language=EN, stringName=Boyuan Xue, firstName=Boyuan, middleName=null, lastName=Xue, prefix=null, suffix=null, authorComment=null, nameInitials=null, affiliation=null, department=null, xref=a, #, address=aState Key Joint Laboratory of ESPC, School of Environment, Tsinghua University, Beijing 100084, China, bio=null, bioImg=null, bioContent=null, aboutCorrespAuthor=null), CN=AuthorExt(id=1162119443859956002, tenantId=1045748351789510663, journalId=1155139928190095384, articleId=1159850624076538350, authorId=1162119443608297750, language=CN, stringName=薛博元, firstName=null, middleName=null, lastName=null, prefix=null, suffix=null, authorComment=null, nameInitials=null, affiliation=null, department=null, xref=a, #, address=aState Key Joint Laboratory of ESPC, School of Environment, Tsinghua University, Beijing 100084, China, bio=null, bioImg=null, bioContent=null, aboutCorrespAuthor=null)}, companyList=null), Author(id=1162119443969007912, tenantId=1045748351789510663, journalId=1155139928190095384, articleId=1159850624076538350, orderNo=1, firstName=null, middleName=null, lastName=null, nameCn=null, orcid=null, stid=null, country=null, authorPic=null, dead=0, email=null, emailSecond=null, emailThird=null, correspondingAuthor=0, authorType=1, ext={EN=AuthorExt(id=1162119444111614254, tenantId=1045748351789510663, journalId=1155139928190095384, articleId=1159850624076538350, authorId=1162119443969007912, language=EN, stringName=Qian Yang, firstName=Qian, middleName=null, lastName=Yang, prefix=null, suffix=null, authorComment=null, nameInitials=null, affiliation=null, department=null, xref=a, #, address=aState Key Joint Laboratory of ESPC, School of Environment, Tsinghua University, Beijing 100084, China, bio=null, bioImg=null, bioContent=null, aboutCorrespAuthor=null), CN=AuthorExt(id=1162119444220666161, tenantId=1045748351789510663, journalId=1155139928190095384, articleId=1159850624076538350, authorId=1162119443969007912, language=CN, stringName=杨倩, firstName=null, middleName=null, lastName=null, prefix=null, suffix=null, authorComment=null, nameInitials=null, affiliation=null, department=null, xref=a, #, address=aState Key Joint Laboratory of ESPC, School of Environment, Tsinghua University, Beijing 100084, China, bio=null, bioImg=null, bioContent=null, aboutCorrespAuthor=null)}, companyList=null), Author(id=1162119444329718069, tenantId=1045748351789510663, journalId=1155139928190095384, articleId=1159850624076538350, orderNo=2, firstName=null, middleName=null, lastName=null, nameCn=null, orcid=null, stid=null, country=null, authorPic=null, dead=0, email=null, emailSecond=null, emailThird=null, correspondingAuthor=0, authorType=1, ext={EN=AuthorExt(id=1162119444505878842, tenantId=1045748351789510663, journalId=1155139928190095384, articleId=1159850624076538350, authorId=1162119444329718069, language=EN, stringName=Kaidong Xia, firstName=Kaidong, middleName=null, lastName=Xia, prefix=null, suffix=null, authorComment=null, nameInitials=null, affiliation=null, department=null, xref=a, b, #, address=aState Key Joint Laboratory of ESPC, School of Environment, Tsinghua University, Beijing 100084, China
    bNational Key Laboratory of Science and Technology on Micro/Nano Fabrication, Institute of Microelectronics, Peking University, Beijing 100871, China, bio=null, bioImg=null, bioContent=null, aboutCorrespAuthor=null), CN=AuthorExt(id=1162119444619125055, tenantId=1045748351789510663, journalId=1155139928190095384, articleId=1159850624076538350, authorId=1162119444329718069, language=CN, stringName=夏楷东, firstName=null, middleName=null, lastName=null, prefix=null, suffix=null, authorComment=null, nameInitials=null, affiliation=null, department=null, xref=a, b, #, address=aState Key Joint Laboratory of ESPC, School of Environment, Tsinghua University, Beijing 100084, China
    bNational Key Laboratory of Science and Technology on Micro/Nano Fabrication, Institute of Microelectronics, Peking University, Beijing 100871, China, bio=null, bioImg=null, bioContent=null, aboutCorrespAuthor=null)}, companyList=null), Author(id=1162119444723982658, tenantId=1045748351789510663, journalId=1155139928190095384, articleId=1159850624076538350, orderNo=3, firstName=null, middleName=null, lastName=null, nameCn=null, orcid=null, stid=null, country=null, authorPic=null, dead=0, email=null, emailSecond=null, emailThird=null, correspondingAuthor=0, authorType=1, ext={EN=AuthorExt(id=1162119444866589001, tenantId=1045748351789510663, journalId=1155139928190095384, articleId=1159850624076538350, authorId=1162119444723982658, language=EN, stringName=Zhihong Li, firstName=Zhihong, middleName=null, lastName=Li, prefix=null, suffix=null, authorComment=null, nameInitials=null, affiliation=null, department=null, xref=b, address=bNational Key Laboratory of Science and Technology on Micro/Nano Fabrication, Institute of Microelectronics, Peking University, Beijing 100871, China, bio=null, bioImg=null, bioContent=null, aboutCorrespAuthor=null), CN=AuthorExt(id=1162119444979835211, tenantId=1045748351789510663, journalId=1155139928190095384, articleId=1159850624076538350, authorId=1162119444723982658, language=CN, stringName=李志宏, firstName=null, middleName=null, lastName=null, prefix=null, suffix=null, authorComment=null, nameInitials=null, affiliation=null, department=null, xref=b, address=bNational Key Laboratory of Science and Technology on Micro/Nano Fabrication, Institute of Microelectronics, Peking University, Beijing 100871, China, bio=null, bioImg=null, bioContent=null, aboutCorrespAuthor=null)}, companyList=null), Author(id=1162119445088887119, tenantId=1045748351789510663, journalId=1155139928190095384, articleId=1159850624076538350, orderNo=4, firstName=null, middleName=null, lastName=null, nameCn=null, orcid=null, stid=null, country=null, authorPic=null, dead=0, email=null, emailSecond=null, emailThird=null, correspondingAuthor=0, authorType=1, ext={EN=AuthorExt(id=1162119445227299155, tenantId=1045748351789510663, journalId=1155139928190095384, articleId=1159850624076538350, authorId=1162119445088887119, language=EN, stringName=George Y. Chen, firstName=George, middleName=null, lastName=Y. Chen, prefix=null, suffix=null, authorComment=null, nameInitials=null, affiliation=null, department=null, xref=c, address=cShenzhen Key Laboratory of Photonic Devices and Sensing Systems for Internet of Things, Guangdong and Hong Kong Joint Research Centre for Optical Fiber Sensors, Shenzhen University, Shenzhen 518060, China, bio=null, bioImg=null, bioContent=null, aboutCorrespAuthor=null), CN=AuthorExt(id=1162119445336351061, tenantId=1045748351789510663, journalId=1155139928190095384, articleId=1159850624076538350, authorId=1162119445088887119, language=CN, stringName=陈宇徽, firstName=null, middleName=null, lastName=null, prefix=null, suffix=null, authorComment=null, nameInitials=null, affiliation=null, department=null, xref=c, address=cShenzhen Key Laboratory of Photonic Devices and Sensing Systems for Internet of Things, Guangdong and Hong Kong Joint Research Centre for Optical Fiber Sensors, Shenzhen University, Shenzhen 518060, China, bio=null, bioImg=null, bioContent=null, aboutCorrespAuthor=null)}, companyList=null), Author(id=1162119445445402969, tenantId=1045748351789510663, journalId=1155139928190095384, articleId=1159850624076538350, orderNo=5, firstName=null, middleName=null, lastName=null, nameCn=null, orcid=null, stid=null, country=null, authorPic=null, dead=0, email=zhangdayi@tsinghua.org.cn, emailSecond=null, emailThird=null, correspondingAuthor=1, authorType=1, ext={EN=AuthorExt(id=1162119445592203614, tenantId=1045748351789510663, journalId=1155139928190095384, articleId=1159850624076538350, authorId=1162119445445402969, language=EN, stringName=Dayi Zhang, firstName=Dayi, middleName=null, lastName=Zhang, prefix=null, suffix=null, authorComment=null, nameInitials=null, affiliation=null, department=null, xref=d, *, address=dCollege of New Energy and Environment, Jilin University, Changchun 130021, China, bio=null, bioImg=null, bioContent=null, aboutCorrespAuthor=null), CN=AuthorExt(id=1162119445701255520, tenantId=1045748351789510663, journalId=1155139928190095384, articleId=1159850624076538350, authorId=1162119445445402969, language=CN, stringName=张大奕, firstName=null, middleName=null, lastName=null, prefix=null, suffix=null, authorComment=null, nameInitials=null, affiliation=null, department=null, xref=d, *, address=dCollege of New Energy and Environment, Jilin University, Changchun 130021, China, bio=null, bioImg=null, bioContent=null, aboutCorrespAuthor=null)}, companyList=null), Author(id=1162119445810307428, tenantId=1045748351789510663, journalId=1155139928190095384, articleId=1159850624076538350, orderNo=6, firstName=null, middleName=null, lastName=null, nameCn=null, orcid=null, stid=null, country=null, authorPic=null, dead=0, email=xhzhou@mail.tsinghua.edu.cn, emailSecond=null, emailThird=null, correspondingAuthor=1, authorType=1, ext={EN=AuthorExt(id=1162119445990662506, tenantId=1045748351789510663, journalId=1155139928190095384, articleId=1159850624076538350, authorId=1162119445810307428, language=EN, stringName=Xiaohong Zhou, firstName=Xiaohong, middleName=null, lastName=Zhou, prefix=null, suffix=null, authorComment=null, nameInitials=null, affiliation=null, department=null, xref=a, e, *, address=aState Key Joint Laboratory of ESPC, School of Environment, Tsinghua University, Beijing 100084, China
    eThe Research Institute of Environmental Innovation (Suzhou), Tsinghua University, Suzhou 215000, China, bio=null, bioImg=null, bioContent=null, aboutCorrespAuthor=null), CN=AuthorExt(id=1162119446103908716, tenantId=1045748351789510663, journalId=1155139928190095384, articleId=1159850624076538350, authorId=1162119445810307428, language=CN, stringName=周小红, firstName=null, middleName=null, lastName=null, prefix=null, suffix=null, authorComment=null, nameInitials=null, affiliation=null, department=null, xref=a, e, *, address=aState Key Joint Laboratory of ESPC, School of Environment, Tsinghua University, Beijing 100084, China
    eThe Research Institute of Environmental Innovation (Suzhou), Tsinghua University, Suzhou 215000, China, bio=null, bioImg=null, bioContent=null, aboutCorrespAuthor=null)}, companyList=null)]
    Boyuan Xue , Qian Yang , Kaidong Xia , Zhihong Li , George Y. Chen , Dayi Zhang , Xiaohong Zhou

    Nowadays, there has been a growing trend in the field of high-energy physics (HEP), in both its experimental and phenomenological studies, to incorporate machine learning (ML) and its specialized branch, deep learning (DL). This review paper provides a thorough illustration of these applications using different ML and DL approaches. The first part of the paper examines the basics of various particle physics types and establishes guidelines for assessing particle physics alongside the available learning models. Next, a detailed classification is provided for representing Jets that are reconstructed in high-energy collisions, mainly in proton-proton collisions at well-defined beam energies. This section covers various datasets, preprocessing techniques, and feature extraction and selection methods. The presented techniques can be applied to future hadron−hadron colliders (HHC), such as the high-luminosity LHC (HL-LHC) and the future circular collider−hadron−hadron (FCC-hh). The authors then explore several AI techniques analyses designed specifically for both image and point-cloud (PC) data in HEP. Additionally, a closer look is taken at the classification associated with Jet tagging in hadron collisions. In this review, various state-of-the-art (SOTA) techniques in ML and DL are examined, with a focus on their implications for HEP demands. More precisely, this discussion addresses various applications in extensive detail, such as Jet tagging, Jet tracking, and particle classification. The review concludes with an analysis of the current state of HEP using DL methodologies. It highlights the challenges and potential areas for future research, which are illustrated for each application.

  • Article
    Dynamic Modeling Framework of Sediment Trapped by Check-Dam Networks: A Case Study of a Typical Watershed on the Chinese Loess Plateau
    [Author(id=1162119355603411182, tenantId=1045748351789510663, journalId=1155139928190095384, articleId=1159848176851149661, orderNo=0, firstName=null, middleName=null, lastName=null, nameCn=null, orcid=null, stid=null, country=null, authorPic=null, dead=0, email=null, emailSecond=null, emailThird=null, correspondingAuthor=0, authorType=1, ext={EN=AuthorExt(id=1162119355800543480, tenantId=1045748351789510663, journalId=1155139928190095384, articleId=1159848176851149661, authorId=1162119355603411182, language=EN, stringName=Pengcheng Sun, firstName=Pengcheng, middleName=null, lastName=Sun, prefix=null, suffix=null, authorComment=null, nameInitials=null, affiliation=null, department=null, xref=a, b, address=aDepartment of Earth and Environmental Science, Xi'an Jiaotong University, Xi'an 710049, China
    bKey Laboratory of Soil and Water Conservation on the Loess Plateau of Ministry of Water Resources, Yellow River Institute of Hydraulic Research, Zhengzhou 450003, China, bio=null, bioImg=null, bioContent=null, aboutCorrespAuthor=null), CN=AuthorExt(id=1162119355917983998, tenantId=1045748351789510663, journalId=1155139928190095384, articleId=1159848176851149661, authorId=1162119355603411182, language=CN, stringName=孙彭成, firstName=null, middleName=null, lastName=null, prefix=null, suffix=null, authorComment=null, nameInitials=null, affiliation=null, department=null, xref=a, b, address=aDepartment of Earth and Environmental Science, Xi'an Jiaotong University, Xi'an 710049, China
    bKey Laboratory of Soil and Water Conservation on the Loess Plateau of Ministry of Water Resources, Yellow River Institute of Hydraulic Research, Zhengzhou 450003, China, bio=null, bioImg=null, bioContent=null, aboutCorrespAuthor=null)}, companyList=null), Author(id=1162119356039618817, tenantId=1045748351789510663, journalId=1155139928190095384, articleId=1159848176851149661, orderNo=1, firstName=null, middleName=null, lastName=null, nameCn=null, orcid=null, stid=null, country=null, authorPic=null, dead=0, email=yipingwu@xjtu.edu.cn, emailSecond=null, emailThird=null, correspondingAuthor=1, authorType=1, ext={EN=AuthorExt(id=1162119356194808070, tenantId=1045748351789510663, journalId=1155139928190095384, articleId=1159848176851149661, authorId=1162119356039618817, language=EN, stringName=Yiping Wu, firstName=Yiping, middleName=null, lastName=Wu, prefix=null, suffix=null, authorComment=null, nameInitials=null, affiliation=null, department=null, xref=a, *, address=aDepartment of Earth and Environmental Science, Xi'an Jiaotong University, Xi'an 710049, China, bio=null, bioImg=null, bioContent=null, aboutCorrespAuthor=null), CN=AuthorExt(id=1162119356312248589, tenantId=1045748351789510663, journalId=1155139928190095384, articleId=1159848176851149661, authorId=1162119356039618817, language=CN, stringName=吴一平, firstName=null, middleName=null, lastName=null, prefix=null, suffix=null, authorComment=null, nameInitials=null, affiliation=null, department=null, xref=a, *, address=aDepartment of Earth and Environmental Science, Xi'an Jiaotong University, Xi'an 710049, China, bio=null, bioImg=null, bioContent=null, aboutCorrespAuthor=null)}, companyList=null)]
    Pengcheng Sun , Yiping Wu

    Nowadays, there has been a growing trend in the field of high-energy physics (HEP), in both its experimental and phenomenological studies, to incorporate machine learning (ML) and its specialized branch, deep learning (DL). This review paper provides a thorough illustration of these applications using different ML and DL approaches. The first part of the paper examines the basics of various particle physics types and establishes guidelines for assessing particle physics alongside the available learning models. Next, a detailed classification is provided for representing Jets that are reconstructed in high-energy collisions, mainly in proton-proton collisions at well-defined beam energies. This section covers various datasets, preprocessing techniques, and feature extraction and selection methods. The presented techniques can be applied to future hadron−hadron colliders (HHC), such as the high-luminosity LHC (HL-LHC) and the future circular collider−hadron−hadron (FCC-hh). The authors then explore several AI techniques analyses designed specifically for both image and point-cloud (PC) data in HEP. Additionally, a closer look is taken at the classification associated with Jet tagging in hadron collisions. In this review, various state-of-the-art (SOTA) techniques in ML and DL are examined, with a focus on their implications for HEP demands. More precisely, this discussion addresses various applications in extensive detail, such as Jet tagging, Jet tracking, and particle classification. The review concludes with an analysis of the current state of HEP using DL methodologies. It highlights the challenges and potential areas for future research, which are illustrated for each application.

  • Review
    The Bioprospecting of Microbial-Derived Antimicrobial Peptides for Sustainable Agriculture
    [Author(id=1162119355817320697, tenantId=1045748351789510663, journalId=1155139928190095384, articleId=1159848931888783454, orderNo=0, firstName=null, middleName=null, lastName=null, nameCn=null, orcid=null, stid=null, country=null, authorPic=null, dead=0, email=null, emailSecond=null, emailThird=null, correspondingAuthor=0, authorType=1, ext={EN=AuthorExt(id=1162119356001870080, tenantId=1045748351789510663, journalId=1155139928190095384, articleId=1159848931888783454, authorId=1162119355817320697, language=EN, stringName=Shuhua Lin, firstName=Shuhua, middleName=null, lastName=Lin, prefix=null, suffix=null, authorComment=null, nameInitials=null, affiliation=null, department=null, xref=a, b, #, address=aCollege of Chemical Engineering, Fuzhou University, Fuzhou 350108, China
    bCollege of Biological Science and Engineering, Fuzhou University, Fuzhou 350108, China, bio=null, bioImg=null, bioContent=null, aboutCorrespAuthor=null), CN=AuthorExt(id=1162119356110921987, tenantId=1045748351789510663, journalId=1155139928190095384, articleId=1159848931888783454, authorId=1162119355817320697, language=CN, stringName=林书华, firstName=null, middleName=null, lastName=null, prefix=null, suffix=null, authorComment=null, nameInitials=null, affiliation=null, department=null, xref=a, b, #, address=aCollege of Chemical Engineering, Fuzhou University, Fuzhou 350108, China
    bCollege of Biological Science and Engineering, Fuzhou University, Fuzhou 350108, China, bio=null, bioImg=null, bioContent=null, aboutCorrespAuthor=null)}, companyList=null), Author(id=1162119356219973896, tenantId=1045748351789510663, journalId=1155139928190095384, articleId=1159848931888783454, orderNo=1, firstName=null, middleName=null, lastName=null, nameCn=null, orcid=null, stid=null, country=null, authorPic=null, dead=0, email=null, emailSecond=null, emailThird=null, correspondingAuthor=0, authorType=1, ext={EN=AuthorExt(id=1162119356404523278, tenantId=1045748351789510663, journalId=1155139928190095384, articleId=1159848931888783454, authorId=1162119356219973896, language=EN, stringName=Xuan Chen, firstName=Xuan, middleName=null, lastName=Chen, prefix=null, suffix=null, authorComment=null, nameInitials=null, affiliation=null, department=null, xref=a, b, #, address=aCollege of Chemical Engineering, Fuzhou University, Fuzhou 350108, China
    bCollege of Biological Science and Engineering, Fuzhou University, Fuzhou 350108, China, bio=null, bioImg=null, bioContent=null, aboutCorrespAuthor=null), CN=AuthorExt(id=1162119356513575184, tenantId=1045748351789510663, journalId=1155139928190095384, articleId=1159848931888783454, authorId=1162119356219973896, language=CN, stringName=陈选, firstName=null, middleName=null, lastName=null, prefix=null, suffix=null, authorComment=null, nameInitials=null, affiliation=null, department=null, xref=a, b, #, address=aCollege of Chemical Engineering, Fuzhou University, Fuzhou 350108, China
    bCollege of Biological Science and Engineering, Fuzhou University, Fuzhou 350108, China, bio=null, bioImg=null, bioContent=null, aboutCorrespAuthor=null)}, companyList=null), Author(id=1162119356626821395, tenantId=1045748351789510663, journalId=1155139928190095384, articleId=1159848931888783454, orderNo=2, firstName=null, middleName=null, lastName=null, nameCn=null, orcid=null, stid=null, country=null, authorPic=null, dead=0, email=null, emailSecond=null, emailThird=null, correspondingAuthor=0, authorType=1, ext={EN=AuthorExt(id=1162119356769427736, tenantId=1045748351789510663, journalId=1155139928190095384, articleId=1159848931888783454, authorId=1162119356626821395, language=EN, stringName=Huimin Chen, firstName=Huimin, middleName=null, lastName=Chen, prefix=null, suffix=null, authorComment=null, nameInitials=null, affiliation=null, department=null, xref=b, address=bCollege of Biological Science and Engineering, Fuzhou University, Fuzhou 350108, China, bio=null, bioImg=null, bioContent=null, aboutCorrespAuthor=null), CN=AuthorExt(id=1162119356882673946, tenantId=1045748351789510663, journalId=1155139928190095384, articleId=1159848931888783454, authorId=1162119356626821395, language=CN, stringName=陈惠敏, firstName=null, middleName=null, lastName=null, prefix=null, suffix=null, authorComment=null, nameInitials=null, affiliation=null, department=null, xref=b, address=bCollege of Biological Science and Engineering, Fuzhou University, Fuzhou 350108, China, bio=null, bioImg=null, bioContent=null, aboutCorrespAuthor=null)}, companyList=null), Author(id=1162119356995920157, tenantId=1045748351789510663, journalId=1155139928190095384, articleId=1159848931888783454, orderNo=3, firstName=null, middleName=null, lastName=null, nameCn=null, orcid=null, stid=null, country=null, authorPic=null, dead=0, email=null, emailSecond=null, emailThird=null, correspondingAuthor=0, authorType=1, ext={EN=AuthorExt(id=1162119357142720802, tenantId=1045748351789510663, journalId=1155139928190095384, articleId=1159848931888783454, authorId=1162119356995920157, language=EN, stringName=Xixi Cai, firstName=Xixi, middleName=null, lastName=Cai, prefix=null, suffix=null, authorComment=null, nameInitials=null, affiliation=null, department=null, xref=b, address=bCollege of Biological Science and Engineering, Fuzhou University, Fuzhou 350108, China, bio=null, bioImg=null, bioContent=null, aboutCorrespAuthor=null), CN=AuthorExt(id=1162119357251772707, tenantId=1045748351789510663, journalId=1155139928190095384, articleId=1159848931888783454, authorId=1162119356995920157, language=CN, stringName=蔡茜茜, firstName=null, middleName=null, lastName=null, prefix=null, suffix=null, authorComment=null, nameInitials=null, affiliation=null, department=null, xref=b, address=bCollege of Biological Science and Engineering, Fuzhou University, Fuzhou 350108, China, bio=null, bioImg=null, bioContent=null, aboutCorrespAuthor=null)}, companyList=null), Author(id=1162119357365018918, tenantId=1045748351789510663, journalId=1155139928190095384, articleId=1159848931888783454, orderNo=4, firstName=null, middleName=null, lastName=null, nameCn=null, orcid=null, stid=null, country=null, authorPic=null, dead=0, email=null, emailSecond=null, emailThird=null, correspondingAuthor=0, authorType=1, ext={EN=AuthorExt(id=1162119357520208171, tenantId=1045748351789510663, journalId=1155139928190095384, articleId=1159848931888783454, authorId=1162119357365018918, language=EN, stringName=Xu Chen, firstName=Xu, middleName=null, lastName=Chen, prefix=null, suffix=null, authorComment=null, nameInitials=null, affiliation=null, department=null, xref=b, address=bCollege of Biological Science and Engineering, Fuzhou University, Fuzhou 350108, China, bio=null, bioImg=null, bioContent=null, aboutCorrespAuthor=null), CN=AuthorExt(id=1162119357646037293, tenantId=1045748351789510663, journalId=1155139928190095384, articleId=1159848931888783454, authorId=1162119357365018918, language=CN, stringName=陈旭, firstName=null, middleName=null, lastName=null, prefix=null, suffix=null, authorComment=null, nameInitials=null, affiliation=null, department=null, xref=b, address=bCollege of Biological Science and Engineering, Fuzhou University, Fuzhou 350108, China, bio=null, bioImg=null, bioContent=null, aboutCorrespAuthor=null)}, companyList=null), Author(id=1162119357776060721, tenantId=1045748351789510663, journalId=1155139928190095384, articleId=1159848931888783454, orderNo=5, firstName=null, middleName=null, lastName=null, nameCn=null, orcid=null, stid=null, country=null, authorPic=null, dead=0, email=shywang@fzu.edu.cn, emailSecond=null, emailThird=null, correspondingAuthor=1, authorType=1, ext={EN=AuthorExt(id=1162119357943832885, tenantId=1045748351789510663, journalId=1155139928190095384, articleId=1159848931888783454, authorId=1162119357776060721, language=EN, stringName=Shaoyun Wang, firstName=Shaoyun, middleName=null, lastName=Wang, prefix=null, suffix=null, authorComment=null, nameInitials=null, affiliation=null, department=null, xref=b, *, address=bCollege of Biological Science and Engineering, Fuzhou University, Fuzhou 350108, China, bio=null, bioImg=null, bioContent=null, aboutCorrespAuthor=null), CN=AuthorExt(id=1162119358069662007, tenantId=1045748351789510663, journalId=1155139928190095384, articleId=1159848931888783454, authorId=1162119357776060721, language=CN, stringName=汪少芸, firstName=null, middleName=null, lastName=null, prefix=null, suffix=null, authorComment=null, nameInitials=null, affiliation=null, department=null, xref=b, *, address=bCollege of Biological Science and Engineering, Fuzhou University, Fuzhou 350108, China, bio=null, bioImg=null, bioContent=null, aboutCorrespAuthor=null)}, companyList=null)]
    Shuhua Lin , Xuan Chen , Huimin Chen , Xixi Cai , Xu Chen , Shaoyun Wang

    Nowadays, there has been a growing trend in the field of high-energy physics (HEP), in both its experimental and phenomenological studies, to incorporate machine learning (ML) and its specialized branch, deep learning (DL). This review paper provides a thorough illustration of these applications using different ML and DL approaches. The first part of the paper examines the basics of various particle physics types and establishes guidelines for assessing particle physics alongside the available learning models. Next, a detailed classification is provided for representing Jets that are reconstructed in high-energy collisions, mainly in proton-proton collisions at well-defined beam energies. This section covers various datasets, preprocessing techniques, and feature extraction and selection methods. The presented techniques can be applied to future hadron−hadron colliders (HHC), such as the high-luminosity LHC (HL-LHC) and the future circular collider−hadron−hadron (FCC-hh). The authors then explore several AI techniques analyses designed specifically for both image and point-cloud (PC) data in HEP. Additionally, a closer look is taken at the classification associated with Jet tagging in hadron collisions. In this review, various state-of-the-art (SOTA) techniques in ML and DL are examined, with a focus on their implications for HEP demands. More precisely, this discussion addresses various applications in extensive detail, such as Jet tagging, Jet tracking, and particle classification. The review concludes with an analysis of the current state of HEP using DL methodologies. It highlights the challenges and potential areas for future research, which are illustrated for each application.

  • Article
    ARGs-OAP v3.0: Antibiotic-Resistance Gene Database Curation and Analysis Pipeline Optimization
    [Author(id=1162119880906432742, tenantId=1045748351789510663, journalId=1155139928190095384, articleId=1159858618629677550, orderNo=0, firstName=null, middleName=null, lastName=null, nameCn=null, orcid=null, stid=null, country=null, authorPic=null, dead=0, email=null, emailSecond=null, emailThird=null, correspondingAuthor=0, authorType=1, ext={EN=AuthorExt(id=1162119881070010604, tenantId=1045748351789510663, journalId=1155139928190095384, articleId=1159858618629677550, authorId=1162119880906432742, language=EN, stringName=Xiaole Yin, firstName=Xiaole, middleName=null, lastName=Yin, prefix=null, suffix=null, authorComment=null, nameInitials=null, affiliation=null, department=null, xref=null, address=Environmental Microbiome Engineering and Biotechnology Laboratory, Center for Environmental Engineering Research, Department of Civil Engineering, the University of Hong Kong, Hong Kong 999077, China, bio=null, bioImg=null, bioContent=null, aboutCorrespAuthor=null), CN=AuthorExt(id=1162119881195839724, tenantId=1045748351789510663, journalId=1155139928190095384, articleId=1159858618629677550, authorId=1162119880906432742, language=CN, stringName=殷晓乐, firstName=null, middleName=null, lastName=null, prefix=null, suffix=null, authorComment=null, nameInitials=null, affiliation=null, department=null, xref=null, address=Environmental Microbiome Engineering and Biotechnology Laboratory, Center for Environmental Engineering Research, Department of Civil Engineering, the University of Hong Kong, Hong Kong 999077, China, bio=null, bioImg=null, bioContent=null, aboutCorrespAuthor=null)}, companyList=null), Author(id=1162119881292308718, tenantId=1045748351789510663, journalId=1155139928190095384, articleId=1159858618629677550, orderNo=1, firstName=null, middleName=null, lastName=null, nameCn=null, orcid=null, stid=null, country=null, authorPic=null, dead=0, email=null, emailSecond=null, emailThird=null, correspondingAuthor=0, authorType=1, ext={EN=AuthorExt(id=1162119881443303664, tenantId=1045748351789510663, journalId=1155139928190095384, articleId=1159858618629677550, authorId=1162119881292308718, language=EN, stringName=Xiawan Zheng, firstName=Xiawan, middleName=null, lastName=Zheng, prefix=null, suffix=null, authorComment=null, nameInitials=null, affiliation=null, department=null, xref=null, address=Environmental Microbiome Engineering and Biotechnology Laboratory, Center for Environmental Engineering Research, Department of Civil Engineering, the University of Hong Kong, Hong Kong 999077, China, bio=null, bioImg=null, bioContent=null, aboutCorrespAuthor=null), CN=AuthorExt(id=1162119881577521395, tenantId=1045748351789510663, journalId=1155139928190095384, articleId=1159858618629677550, authorId=1162119881292308718, language=CN, stringName=郑夏婉, firstName=null, middleName=null, lastName=null, prefix=null, suffix=null, authorComment=null, nameInitials=null, affiliation=null, department=null, xref=null, address=Environmental Microbiome Engineering and Biotechnology Laboratory, Center for Environmental Engineering Research, Department of Civil Engineering, the University of Hong Kong, Hong Kong 999077, China, bio=null, bioImg=null, bioContent=null, aboutCorrespAuthor=null)}, companyList=null), Author(id=1162119881728516344, tenantId=1045748351789510663, journalId=1155139928190095384, articleId=1159858618629677550, orderNo=2, firstName=null, middleName=null, lastName=null, nameCn=null, orcid=null, stid=null, country=null, authorPic=null, dead=0, email=null, emailSecond=null, emailThird=null, correspondingAuthor=0, authorType=1, ext={EN=AuthorExt(id=1162119881887899902, tenantId=1045748351789510663, journalId=1155139928190095384, articleId=1159858618629677550, authorId=1162119881728516344, language=EN, stringName=Liguan Li, firstName=Liguan, middleName=null, lastName=Li, prefix=null, suffix=null, authorComment=null, nameInitials=null, affiliation=null, department=null, xref=null, address=Environmental Microbiome Engineering and Biotechnology Laboratory, Center for Environmental Engineering Research, Department of Civil Engineering, the University of Hong Kong, Hong Kong 999077, China, bio=null, bioImg=null, bioContent=null, aboutCorrespAuthor=null), CN=AuthorExt(id=1162119882013729025, tenantId=1045748351789510663, journalId=1155139928190095384, articleId=1159858618629677550, authorId=1162119881728516344, language=CN, stringName=李丽观, firstName=null, middleName=null, lastName=null, prefix=null, suffix=null, authorComment=null, nameInitials=null, affiliation=null, department=null, xref=null, address=Environmental Microbiome Engineering and Biotechnology Laboratory, Center for Environmental Engineering Research, Department of Civil Engineering, the University of Hong Kong, Hong Kong 999077, China, bio=null, bioImg=null, bioContent=null, aboutCorrespAuthor=null)}, companyList=null), Author(id=1162119882126975237, tenantId=1045748351789510663, journalId=1155139928190095384, articleId=1159858618629677550, orderNo=3, firstName=null, middleName=null, lastName=null, nameCn=null, orcid=null, stid=null, country=null, authorPic=null, dead=0, email=null, emailSecond=null, emailThird=null, correspondingAuthor=0, authorType=1, ext={EN=AuthorExt(id=1162119882298941702, tenantId=1045748351789510663, journalId=1155139928190095384, articleId=1159858618629677550, authorId=1162119882126975237, language=EN, stringName=An-Ni Zhang, firstName=An-Ni, middleName=null, lastName=Zhang, prefix=null, suffix=null, authorComment=null, nameInitials=null, affiliation=null, department=null, xref=null, address=Environmental Microbiome Engineering and Biotechnology Laboratory, Center for Environmental Engineering Research, Department of Civil Engineering, the University of Hong Kong, Hong Kong 999077, China, bio=null, bioImg=null, bioContent=null, aboutCorrespAuthor=null), CN=AuthorExt(id=1162119882424770824, tenantId=1045748351789510663, journalId=1155139928190095384, articleId=1159858618629677550, authorId=1162119882126975237, language=CN, stringName=章安妮, firstName=null, middleName=null, lastName=null, prefix=null, suffix=null, authorComment=null, nameInitials=null, affiliation=null, department=null, xref=null, address=Environmental Microbiome Engineering and Biotechnology Laboratory, Center for Environmental Engineering Research, Department of Civil Engineering, the University of Hong Kong, Hong Kong 999077, China, bio=null, bioImg=null, bioContent=null, aboutCorrespAuthor=null)}, companyList=null), Author(id=1162119882546405645, tenantId=1045748351789510663, journalId=1155139928190095384, articleId=1159858618629677550, orderNo=4, firstName=null, middleName=null, lastName=null, nameCn=null, orcid=null, stid=null, country=null, authorPic=null, dead=0, email=null, emailSecond=null, emailThird=null, correspondingAuthor=0, authorType=1, ext={EN=AuthorExt(id=1162119882709983506, tenantId=1045748351789510663, journalId=1155139928190095384, articleId=1159858618629677550, authorId=1162119882546405645, language=EN, stringName=Xiao-Tao Jiang, firstName=Xiao-Tao, middleName=null, lastName=Jiang, prefix=null, suffix=null, authorComment=null, nameInitials=null, affiliation=null, department=null, xref=null, address=Environmental Microbiome Engineering and Biotechnology Laboratory, Center for Environmental Engineering Research, Department of Civil Engineering, the University of Hong Kong, Hong Kong 999077, China, bio=null, bioImg=null, bioContent=null, aboutCorrespAuthor=null), CN=AuthorExt(id=1162119882831618325, tenantId=1045748351789510663, journalId=1155139928190095384, articleId=1159858618629677550, authorId=1162119882546405645, language=CN, stringName=姜小涛, firstName=null, middleName=null, lastName=null, prefix=null, suffix=null, authorComment=null, nameInitials=null, affiliation=null, department=null, xref=null, address=Environmental Microbiome Engineering and Biotechnology Laboratory, Center for Environmental Engineering Research, Department of Civil Engineering, the University of Hong Kong, Hong Kong 999077, China, bio=null, bioImg=null, bioContent=null, aboutCorrespAuthor=null)}, companyList=null), Author(id=1162119882936475930, tenantId=1045748351789510663, journalId=1155139928190095384, articleId=1159858618629677550, orderNo=5, firstName=null, middleName=null, lastName=null, nameCn=null, orcid=null, stid=null, country=null, authorPic=null, dead=0, email=zhangt@hku.hk, emailSecond=null, emailThird=null, correspondingAuthor=1, authorType=1, ext={EN=AuthorExt(id=1162119883121025308, tenantId=1045748351789510663, journalId=1155139928190095384, articleId=1159858618629677550, authorId=1162119882936475930, language=EN, stringName=Tong Zhang, firstName=Tong, middleName=null, lastName=Zhang, prefix=null, suffix=null, authorComment=null, nameInitials=null, affiliation=null, department=null, xref=*, address=Environmental Microbiome Engineering and Biotechnology Laboratory, Center for Environmental Engineering Research, Department of Civil Engineering, the University of Hong Kong, Hong Kong 999077, China, bio=null, bioImg=null, bioContent=null, aboutCorrespAuthor=null), CN=AuthorExt(id=1162119883246854430, tenantId=1045748351789510663, journalId=1155139928190095384, articleId=1159858618629677550, authorId=1162119882936475930, language=CN, stringName=张彤, firstName=null, middleName=null, lastName=null, prefix=null, suffix=null, authorComment=null, nameInitials=null, affiliation=null, department=null, xref=*, address=Environmental Microbiome Engineering and Biotechnology Laboratory, Center for Environmental Engineering Research, Department of Civil Engineering, the University of Hong Kong, Hong Kong 999077, China, bio=null, bioImg=null, bioContent=null, aboutCorrespAuthor=null)}, companyList=null)] Xiaole Yin , Xiawan Zheng , Liguan Li , An-Ni Zhang , Xiao-Tao Jiang , Tong Zhang

    Nowadays, there has been a growing trend in the field of high-energy physics (HEP), in both its experimental and phenomenological studies, to incorporate machine learning (ML) and its specialized branch, deep learning (DL). This review paper provides a thorough illustration of these applications using different ML and DL approaches. The first part of the paper examines the basics of various particle physics types and establishes guidelines for assessing particle physics alongside the available learning models. Next, a detailed classification is provided for representing Jets that are reconstructed in high-energy collisions, mainly in proton-proton collisions at well-defined beam energies. This section covers various datasets, preprocessing techniques, and feature extraction and selection methods. The presented techniques can be applied to future hadron−hadron colliders (HHC), such as the high-luminosity LHC (HL-LHC) and the future circular collider−hadron−hadron (FCC-hh). The authors then explore several AI techniques analyses designed specifically for both image and point-cloud (PC) data in HEP. Additionally, a closer look is taken at the classification associated with Jet tagging in hadron collisions. In this review, various state-of-the-art (SOTA) techniques in ML and DL are examined, with a focus on their implications for HEP demands. More precisely, this discussion addresses various applications in extensive detail, such as Jet tagging, Jet tracking, and particle classification. The review concludes with an analysis of the current state of HEP using DL methodologies. It highlights the challenges and potential areas for future research, which are illustrated for each application.

  • Article
    Robot Pilot: A New Autonomous System toward Flying Manned Aerial Vehicles
    [Author(id=1162119893606785580, tenantId=1045748351789510663, journalId=1155139928190095384, articleId=1159858670186062412, orderNo=0, firstName=null, middleName=null, lastName=null, nameCn=null, orcid=null, stid=null, country=null, authorPic=null, dead=0, email=null, emailSecond=null, emailThird=null, correspondingAuthor=0, authorType=1, ext={EN=AuthorExt(id=1162119893757780526, tenantId=1045748351789510663, journalId=1155139928190095384, articleId=1159858670186062412, authorId=1162119893606785580, language=EN, stringName=Zibo Jin, firstName=Zibo, middleName=null, lastName=Jin, prefix=null, suffix=null, authorComment=null, nameInitials=null, affiliation=null, department=null, xref=null, address=School of Aeronautic Science and Engineering, Beihang University, Beijing 100191, China, bio=null, bioImg=null, bioContent=null, aboutCorrespAuthor=null), CN=AuthorExt(id=1162119893871026735, tenantId=1045748351789510663, journalId=1155139928190095384, articleId=1159858670186062412, authorId=1162119893606785580, language=CN, stringName=金子博, firstName=null, middleName=null, lastName=null, prefix=null, suffix=null, authorComment=null, nameInitials=null, affiliation=null, department=null, xref=null, address=School of Aeronautic Science and Engineering, Beihang University, Beijing 100191, China, bio=null, bioImg=null, bioContent=null, aboutCorrespAuthor=null)}, companyList=null), Author(id=1162119893984272945, tenantId=1045748351789510663, journalId=1155139928190095384, articleId=1159858670186062412, orderNo=1, firstName=null, middleName=null, lastName=null, nameCn=null, orcid=null, stid=null, country=null, authorPic=null, dead=0, email=lidc@buaa.edu.cn, emailSecond=null, emailThird=null, correspondingAuthor=1, authorType=1, ext={EN=AuthorExt(id=1162119894152045107, tenantId=1045748351789510663, journalId=1155139928190095384, articleId=1159858670186062412, authorId=1162119893984272945, language=EN, stringName=Daochun Li, firstName=Daochun, middleName=null, lastName=Li, prefix=null, suffix=null, authorComment=null, nameInitials=null, affiliation=null, department=null, xref=*, address=School of Aeronautic Science and Engineering, Beihang University, Beijing 100191, China, bio=null, bioImg=null, bioContent=null, aboutCorrespAuthor=null), CN=AuthorExt(id=1162119894273679924, tenantId=1045748351789510663, journalId=1155139928190095384, articleId=1159858670186062412, authorId=1162119893984272945, language=CN, stringName=李道春, firstName=null, middleName=null, lastName=null, prefix=null, suffix=null, authorComment=null, nameInitials=null, affiliation=null, department=null, xref=*, address=School of Aeronautic Science and Engineering, Beihang University, Beijing 100191, China, bio=null, bioImg=null, bioContent=null, aboutCorrespAuthor=null)}, companyList=null), Author(id=1162119894391120438, tenantId=1045748351789510663, journalId=1155139928190095384, articleId=1159858670186062412, orderNo=2, firstName=null, middleName=null, lastName=null, nameCn=null, orcid=null, stid=null, country=null, authorPic=null, dead=0, email=null, emailSecond=null, emailThird=null, correspondingAuthor=0, authorType=1, ext={EN=AuthorExt(id=1162119894554698296, tenantId=1045748351789510663, journalId=1155139928190095384, articleId=1159858670186062412, authorId=1162119894391120438, language=EN, stringName=Jinwu Xiang, firstName=Jinwu, middleName=null, lastName=Xiang, prefix=null, suffix=null, authorComment=null, nameInitials=null, affiliation=null, department=null, xref=null, address=School of Aeronautic Science and Engineering, Beihang University, Beijing 100191, China, bio=null, bioImg=null, bioContent=null, aboutCorrespAuthor=null), CN=AuthorExt(id=1162119894676333113, tenantId=1045748351789510663, journalId=1155139928190095384, articleId=1159858670186062412, authorId=1162119894391120438, language=CN, stringName=向锦武, firstName=null, middleName=null, lastName=null, prefix=null, suffix=null, authorComment=null, nameInitials=null, affiliation=null, department=null, xref=null, address=School of Aeronautic Science and Engineering, Beihang University, Beijing 100191, China, bio=null, bioImg=null, bioContent=null, aboutCorrespAuthor=null)}, companyList=null)] Zibo Jin , Daochun Li , Jinwu Xiang

    Nowadays, there has been a growing trend in the field of high-energy physics (HEP), in both its experimental and phenomenological studies, to incorporate machine learning (ML) and its specialized branch, deep learning (DL). This review paper provides a thorough illustration of these applications using different ML and DL approaches. The first part of the paper examines the basics of various particle physics types and establishes guidelines for assessing particle physics alongside the available learning models. Next, a detailed classification is provided for representing Jets that are reconstructed in high-energy collisions, mainly in proton-proton collisions at well-defined beam energies. This section covers various datasets, preprocessing techniques, and feature extraction and selection methods. The presented techniques can be applied to future hadron−hadron colliders (HHC), such as the high-luminosity LHC (HL-LHC) and the future circular collider−hadron−hadron (FCC-hh). The authors then explore several AI techniques analyses designed specifically for both image and point-cloud (PC) data in HEP. Additionally, a closer look is taken at the classification associated with Jet tagging in hadron collisions. In this review, various state-of-the-art (SOTA) techniques in ML and DL are examined, with a focus on their implications for HEP demands. More precisely, this discussion addresses various applications in extensive detail, such as Jet tagging, Jet tracking, and particle classification. The review concludes with an analysis of the current state of HEP using DL methodologies. It highlights the challenges and potential areas for future research, which are illustrated for each application.

  • Article
    Foundations and Applications of Information Systems Dynamics
    [Author(id=1162119441167212668, tenantId=1045748351789510663, journalId=1155139928190095384, articleId=1159850619156619749, orderNo=0, firstName=null, middleName=null, lastName=null, nameCn=null, orcid=null, stid=null, country=null, authorPic=null, dead=0, email=xjfcetc@163.com, emailSecond=null, emailThird=null, correspondingAuthor=1, authorType=1, ext={EN=AuthorExt(id=1162119441339179139, tenantId=1045748351789510663, journalId=1155139928190095384, articleId=1159850619156619749, authorId=1162119441167212668, language=EN, stringName=Jianfeng Xu, firstName=Jianfeng, middleName=null, lastName=Xu, prefix=null, suffix=null, authorComment=null, nameInitials=null, affiliation=null, department=null, xref=a, *, address=aInformation Technology Service Center of People's Court, Beijing 100745, China, bio=null, bioImg=null, bioContent=null, aboutCorrespAuthor=null), CN=AuthorExt(id=1162119441465008267, tenantId=1045748351789510663, journalId=1155139928190095384, articleId=1159850619156619749, authorId=1162119441167212668, language=CN, stringName=许建峰, firstName=null, middleName=null, lastName=null, prefix=null, suffix=null, authorComment=null, nameInitials=null, affiliation=null, department=null, xref=a, *, address=aInformation Technology Service Center of People's Court, Beijing 100745, China, bio=null, bioImg=null, bioContent=null, aboutCorrespAuthor=null)}, companyList=null), Author(id=1162119441590837397, tenantId=1045748351789510663, journalId=1155139928190095384, articleId=1159850619156619749, orderNo=1, firstName=null, middleName=null, lastName=null, nameCn=null, orcid=null, stid=null, country=null, authorPic=null, dead=0, email=lzhy@cupl.edu.cn, emailSecond=null, emailThird=null, correspondingAuthor=1, authorType=1, ext={EN=AuthorExt(id=1162119441766998174, tenantId=1045748351789510663, journalId=1155139928190095384, articleId=1159850619156619749, authorId=1162119441590837397, language=EN, stringName=Zhenyu Liu, firstName=Zhenyu, middleName=null, lastName=Liu, prefix=null, suffix=null, authorComment=null, nameInitials=null, affiliation=null, department=null, xref=b, *, address=bSchool of Information Management for Law, China University of Political Science and Law, Beijing 102249, China, bio=null, bioImg=null, bioContent=null, aboutCorrespAuthor=null), CN=AuthorExt(id=1162119441888632999, tenantId=1045748351789510663, journalId=1155139928190095384, articleId=1159850619156619749, authorId=1162119441590837397, language=CN, stringName=刘振宇, firstName=null, middleName=null, lastName=null, prefix=null, suffix=null, authorComment=null, nameInitials=null, affiliation=null, department=null, xref=b, *, address=bSchool of Information Management for Law, China University of Political Science and Law, Beijing 102249, China, bio=null, bioImg=null, bioContent=null, aboutCorrespAuthor=null)}, companyList=null), Author(id=1162119442006073518, tenantId=1045748351789510663, journalId=1155139928190095384, articleId=1159850619156619749, orderNo=2, firstName=null, middleName=null, lastName=null, nameCn=null, orcid=null, stid=null, country=null, authorPic=null, dead=0, email=null, emailSecond=null, emailThird=null, correspondingAuthor=0, authorType=1, ext={EN=AuthorExt(id=1162119442157068471, tenantId=1045748351789510663, journalId=1155139928190095384, articleId=1159850619156619749, authorId=1162119442006073518, language=EN, stringName=Shuliang Wang, firstName=Shuliang, middleName=null, lastName=Wang, prefix=null, suffix=null, authorComment=null, nameInitials=null, affiliation=null, department=null, xref=c, address=cSchool of Computer Science and Technology, Beijing Institute of Technology, Beijing 100081, China, bio=null, bioImg=null, bioContent=null, aboutCorrespAuthor=null), CN=AuthorExt(id=1162119442266120381, tenantId=1045748351789510663, journalId=1155139928190095384, articleId=1159850619156619749, authorId=1162119442006073518, language=CN, stringName=王树良, firstName=null, middleName=null, lastName=null, prefix=null, suffix=null, authorComment=null, nameInitials=null, affiliation=null, department=null, xref=c, address=cSchool of Computer Science and Technology, Beijing Institute of Technology, Beijing 100081, China, bio=null, bioImg=null, bioContent=null, aboutCorrespAuthor=null)}, companyList=null), Author(id=1162119442383560897, tenantId=1045748351789510663, journalId=1155139928190095384, articleId=1159850619156619749, orderNo=3, firstName=null, middleName=null, lastName=null, nameCn=null, orcid=null, stid=null, country=null, authorPic=null, dead=0, email=null, emailSecond=null, emailThird=null, correspondingAuthor=0, authorType=1, ext={EN=AuthorExt(id=1162119442538750154, tenantId=1045748351789510663, journalId=1155139928190095384, articleId=1159850619156619749, authorId=1162119442383560897, language=EN, stringName=Tao Zheng, firstName=Tao, middleName=null, lastName=Zheng, prefix=null, suffix=null, authorComment=null, nameInitials=null, affiliation=null, department=null, xref=d, address=dSchool of Mathematics and Statistics, Beijing Institute of Technology, Beijing 100081, China, bio=null, bioImg=null, bioContent=null, aboutCorrespAuthor=null), CN=AuthorExt(id=1162119442647802064, tenantId=1045748351789510663, journalId=1155139928190095384, articleId=1159850619156619749, authorId=1162119442383560897, language=CN, stringName=郑涛, firstName=null, middleName=null, lastName=null, prefix=null, suffix=null, authorComment=null, nameInitials=null, affiliation=null, department=null, xref=d, address=dSchool of Mathematics and Statistics, Beijing Institute of Technology, Beijing 100081, China, bio=null, bioImg=null, bioContent=null, aboutCorrespAuthor=null)}, companyList=null), Author(id=1162119442761048285, tenantId=1045748351789510663, journalId=1155139928190095384, articleId=1159850619156619749, orderNo=4, firstName=null, middleName=null, lastName=null, nameCn=null, orcid=null, stid=null, country=null, authorPic=null, dead=0, email=null, emailSecond=null, emailThird=null, correspondingAuthor=0, authorType=1, ext={EN=AuthorExt(id=1162119442912043240, tenantId=1045748351789510663, journalId=1155139928190095384, articleId=1159850619156619749, authorId=1162119442761048285, language=EN, stringName=Yashi Wang, firstName=Yashi, middleName=null, lastName=Wang, prefix=null, suffix=null, authorComment=null, nameInitials=null, affiliation=null, department=null, xref=b, address=bSchool of Information Management for Law, China University of Political Science and Law, Beijing 102249, China, bio=null, bioImg=null, bioContent=null, aboutCorrespAuthor=null), CN=AuthorExt(id=1162119443021095152, tenantId=1045748351789510663, journalId=1155139928190095384, articleId=1159850619156619749, authorId=1162119442761048285, language=CN, stringName=王雅实, firstName=null, middleName=null, lastName=null, prefix=null, suffix=null, authorComment=null, nameInitials=null, affiliation=null, department=null, xref=b, address=bSchool of Information Management for Law, China University of Political Science and Law, Beijing 102249, China, bio=null, bioImg=null, bioContent=null, aboutCorrespAuthor=null)}, companyList=null), Author(id=1162119443138535675, tenantId=1045748351789510663, journalId=1155139928190095384, articleId=1159850619156619749, orderNo=5, firstName=null, middleName=null, lastName=null, nameCn=null, orcid=null, stid=null, country=null, authorPic=null, dead=0, email=null, emailSecond=null, emailThird=null, correspondingAuthor=0, authorType=1, ext={EN=AuthorExt(id=1162119443285336320, tenantId=1045748351789510663, journalId=1155139928190095384, articleId=1159850619156619749, authorId=1162119443138535675, language=EN, stringName=Yingfei Wang, firstName=Yingfei, middleName=null, lastName=Wang, prefix=null, suffix=null, authorComment=null, nameInitials=null, affiliation=null, department=null, xref=a, address=aInformation Technology Service Center of People's Court, Beijing 100745, China, bio=null, bioImg=null, bioContent=null, aboutCorrespAuthor=null), CN=AuthorExt(id=1162119443398582534, tenantId=1045748351789510663, journalId=1155139928190095384, articleId=1159850619156619749, authorId=1162119443138535675, language=CN, stringName=王赢飞, firstName=null, middleName=null, lastName=null, prefix=null, suffix=null, authorComment=null, nameInitials=null, affiliation=null, department=null, xref=a, address=aInformation Technology Service Center of People's Court, Beijing 100745, China, bio=null, bioImg=null, bioContent=null, aboutCorrespAuthor=null)}, companyList=null), Author(id=1162119443511828749, tenantId=1045748351789510663, journalId=1155139928190095384, articleId=1159850619156619749, orderNo=6, firstName=null, middleName=null, lastName=null, nameCn=null, orcid=null, stid=null, country=null, authorPic=null, dead=0, email=null, emailSecond=null, emailThird=null, correspondingAuthor=0, authorType=1, ext={EN=AuthorExt(id=1162119443662823705, tenantId=1045748351789510663, journalId=1155139928190095384, articleId=1159850619156619749, authorId=1162119443511828749, language=EN, stringName=Yingxu Dang, firstName=Yingxu, middleName=null, lastName=Dang, prefix=null, suffix=null, authorComment=null, nameInitials=null, affiliation=null, department=null, xref=c, address=cSchool of Computer Science and Technology, Beijing Institute of Technology, Beijing 100081, China, bio=null, bioImg=null, bioContent=null, aboutCorrespAuthor=null), CN=AuthorExt(id=1162119443776069919, tenantId=1045748351789510663, journalId=1155139928190095384, articleId=1159850619156619749, authorId=1162119443511828749, language=CN, stringName=党迎旭, firstName=null, middleName=null, lastName=null, prefix=null, suffix=null, authorComment=null, nameInitials=null, affiliation=null, department=null, xref=c, address=cSchool of Computer Science and Technology, Beijing Institute of Technology, Beijing 100081, China, bio=null, bioImg=null, bioContent=null, aboutCorrespAuthor=null)}, companyList=null)] Jianfeng Xu , Zhenyu Liu , Shuliang Wang , Tao Zheng , Yashi Wang , Yingfei Wang , Yingxu Dang

    Nowadays, there has been a growing trend in the field of high-energy physics (HEP), in both its experimental and phenomenological studies, to incorporate machine learning (ML) and its specialized branch, deep learning (DL). This review paper provides a thorough illustration of these applications using different ML and DL approaches. The first part of the paper examines the basics of various particle physics types and establishes guidelines for assessing particle physics alongside the available learning models. Next, a detailed classification is provided for representing Jets that are reconstructed in high-energy collisions, mainly in proton-proton collisions at well-defined beam energies. This section covers various datasets, preprocessing techniques, and feature extraction and selection methods. The presented techniques can be applied to future hadron−hadron colliders (HHC), such as the high-luminosity LHC (HL-LHC) and the future circular collider−hadron−hadron (FCC-hh). The authors then explore several AI techniques analyses designed specifically for both image and point-cloud (PC) data in HEP. Additionally, a closer look is taken at the classification associated with Jet tagging in hadron collisions. In this review, various state-of-the-art (SOTA) techniques in ML and DL are examined, with a focus on their implications for HEP demands. More precisely, this discussion addresses various applications in extensive detail, such as Jet tagging, Jet tracking, and particle classification. The review concludes with an analysis of the current state of HEP using DL methodologies. It highlights the challenges and potential areas for future research, which are illustrated for each application.

  • Article
    Research on Active Safety Methodologies for Intelligent Railway Systems
    [Author(id=1162119355339170019, tenantId=1045748351789510663, journalId=1155139928190095384, articleId=1159848937425264738, orderNo=0, firstName=null, middleName=null, lastName=null, nameCn=null, orcid=null, stid=null, country=null, authorPic=null, dead=0, email=yqin@bjtu.edu.cn, emailSecond=null, emailThird=null, correspondingAuthor=1, authorType=1, ext={EN=AuthorExt(id=1162119355544690924, tenantId=1045748351789510663, journalId=1155139928190095384, articleId=1159848937425264738, authorId=1162119355339170019, language=EN, stringName=Yong Qin, firstName=Yong, middleName=null, lastName=Qin, prefix=null, suffix=null, authorComment=null, nameInitials=null, affiliation=null, department=null, xref=a, c, *, address=aBeijing Jiaotong University, State Key Laboratory of Rail Traffic Control and Safety, Beijing 100044, China
    cKey Laboratory of Railway Industry of Proactive Safety and Risk Control, bio=null, bioImg=null, bioContent=null, aboutCorrespAuthor=null), CN=AuthorExt(id=1162119355674714354, tenantId=1045748351789510663, journalId=1155139928190095384, articleId=1159848937425264738, authorId=1162119355339170019, language=CN, stringName=秦勇, firstName=null, middleName=null, lastName=null, prefix=null, suffix=null, authorComment=null, nameInitials=null, affiliation=null, department=null, xref=a, c, *, address=aBeijing Jiaotong University, State Key Laboratory of Rail Traffic Control and Safety, Beijing 100044, China
    cKey Laboratory of Railway Industry of Proactive Safety and Risk Control, bio=null, bioImg=null, bioContent=null, aboutCorrespAuthor=null)}, companyList=null), Author(id=1162119355796349175, tenantId=1045748351789510663, journalId=1155139928190095384, articleId=1159848937425264738, orderNo=1, firstName=null, middleName=null, lastName=null, nameCn=null, orcid=null, stid=null, country=null, authorPic=null, dead=0, email=null, emailSecond=null, emailThird=null, correspondingAuthor=0, authorType=1, ext={EN=AuthorExt(id=1162119356001870081, tenantId=1045748351789510663, journalId=1155139928190095384, articleId=1159848937425264738, authorId=1162119355796349175, language=EN, stringName=Zhiwei Cao, firstName=Zhiwei, middleName=null, lastName=Cao, prefix=null, suffix=null, authorComment=null, nameInitials=null, affiliation=null, department=null, xref=a, c, address=aBeijing Jiaotong University, State Key Laboratory of Rail Traffic Control and Safety, Beijing 100044, China
    cKey Laboratory of Railway Industry of Proactive Safety and Risk Control, bio=null, bioImg=null, bioContent=null, aboutCorrespAuthor=null), CN=AuthorExt(id=1162119356127699204, tenantId=1045748351789510663, journalId=1155139928190095384, articleId=1159848937425264738, authorId=1162119355796349175, language=CN, stringName=曹志威, firstName=null, middleName=null, lastName=null, prefix=null, suffix=null, authorComment=null, nameInitials=null, affiliation=null, department=null, xref=a, c, address=aBeijing Jiaotong University, State Key Laboratory of Rail Traffic Control and Safety, Beijing 100044, China
    cKey Laboratory of Railway Industry of Proactive Safety and Risk Control, bio=null, bioImg=null, bioContent=null, aboutCorrespAuthor=null)}, companyList=null), Author(id=1162119356253528329, tenantId=1045748351789510663, journalId=1155139928190095384, articleId=1159848937425264738, orderNo=2, firstName=null, middleName=null, lastName=null, nameCn=null, orcid=null, stid=null, country=null, authorPic=null, dead=0, email=null, emailSecond=null, emailThird=null, correspondingAuthor=0, authorType=1, ext={EN=AuthorExt(id=1162119356421300495, tenantId=1045748351789510663, journalId=1155139928190095384, articleId=1159848937425264738, authorId=1162119356253528329, language=EN, stringName=Yongfu Sun, firstName=Yongfu, middleName=null, lastName=Sun, prefix=null, suffix=null, authorComment=null, nameInitials=null, affiliation=null, department=null, xref=b, address=bChinese Academy of Engineering, Beijing 100088, China, bio=null, bioImg=null, bioContent=null, aboutCorrespAuthor=null), CN=AuthorExt(id=1162119356538741009, tenantId=1045748351789510663, journalId=1155139928190095384, articleId=1159848937425264738, authorId=1162119356253528329, language=CN, stringName=孙永福, firstName=null, middleName=null, lastName=null, prefix=null, suffix=null, authorComment=null, nameInitials=null, affiliation=null, department=null, xref=b, address=bChinese Academy of Engineering, Beijing 100088, China, bio=null, bioImg=null, bioContent=null, aboutCorrespAuthor=null)}, companyList=null), Author(id=1162119356672958742, tenantId=1045748351789510663, journalId=1155139928190095384, articleId=1159848937425264738, orderNo=3, firstName=null, middleName=null, lastName=null, nameCn=null, orcid=null, stid=null, country=null, authorPic=null, dead=0, email=null, emailSecond=null, emailThird=null, correspondingAuthor=0, authorType=1, ext={EN=AuthorExt(id=1162119356840730905, tenantId=1045748351789510663, journalId=1155139928190095384, articleId=1159848937425264738, authorId=1162119356672958742, language=EN, stringName=Linlin Kou, firstName=Linlin, middleName=null, lastName=Kou, prefix=null, suffix=null, authorComment=null, nameInitials=null, affiliation=null, department=null, xref=d, address=dBeijing Subway Operation Technology Centre, Beijing 100044, China, bio=null, bioImg=null, bioContent=null, aboutCorrespAuthor=null), CN=AuthorExt(id=1162119356970754332, tenantId=1045748351789510663, journalId=1155139928190095384, articleId=1159848937425264738, authorId=1162119356672958742, language=CN, stringName=寇淋淋, firstName=null, middleName=null, lastName=null, prefix=null, suffix=null, authorComment=null, nameInitials=null, affiliation=null, department=null, xref=d, address=dBeijing Subway Operation Technology Centre, Beijing 100044, China, bio=null, bioImg=null, bioContent=null, aboutCorrespAuthor=null)}, companyList=null), Author(id=1162119357092389152, tenantId=1045748351789510663, journalId=1155139928190095384, articleId=1159848937425264738, orderNo=4, firstName=null, middleName=null, lastName=null, nameCn=null, orcid=null, stid=null, country=null, authorPic=null, dead=0, email=null, emailSecond=null, emailThird=null, correspondingAuthor=0, authorType=1, ext={EN=AuthorExt(id=1162119357264355620, tenantId=1045748351789510663, journalId=1155139928190095384, articleId=1159848937425264738, authorId=1162119357092389152, language=EN, stringName=Xuejun Zhao, firstName=Xuejun, middleName=null, lastName=Zhao, prefix=null, suffix=null, authorComment=null, nameInitials=null, affiliation=null, department=null, xref=e, address=eCRRC Academy Co., Ltd., Beijing 100070, China, bio=null, bioImg=null, bioContent=null, aboutCorrespAuthor=null), CN=AuthorExt(id=1162119357390184743, tenantId=1045748351789510663, journalId=1155139928190095384, articleId=1159848937425264738, authorId=1162119357092389152, language=CN, stringName=赵雪军, firstName=null, middleName=null, lastName=null, prefix=null, suffix=null, authorComment=null, nameInitials=null, affiliation=null, department=null, xref=e, address=eCRRC Academy Co., Ltd., Beijing 100070, China, bio=null, bioImg=null, bioContent=null, aboutCorrespAuthor=null)}, companyList=null), Author(id=1162119357511819562, tenantId=1045748351789510663, journalId=1155139928190095384, articleId=1159848937425264738, orderNo=5, firstName=null, middleName=null, lastName=null, nameCn=null, orcid=null, stid=null, country=null, authorPic=null, dead=0, email=null, emailSecond=null, emailThird=null, correspondingAuthor=0, authorType=1, ext={EN=AuthorExt(id=1162119357662814510, tenantId=1045748351789510663, journalId=1155139928190095384, articleId=1159848937425264738, authorId=1162119357511819562, language=EN, stringName=Yunpeng Wu, firstName=Yunpeng, middleName=null, lastName=Wu, prefix=null, suffix=null, authorComment=null, nameInitials=null, affiliation=null, department=null, xref=f, address=fShijiazhuang Tiedao University, School of Safety Engineering and Emergency Management, Shijiazhuang 050043, China, bio=null, bioImg=null, bioContent=null, aboutCorrespAuthor=null), CN=AuthorExt(id=1162119357776060720, tenantId=1045748351789510663, journalId=1155139928190095384, articleId=1159848937425264738, authorId=1162119357511819562, language=CN, stringName=吴云鹏, firstName=null, middleName=null, lastName=null, prefix=null, suffix=null, authorComment=null, nameInitials=null, affiliation=null, department=null, xref=f, address=fShijiazhuang Tiedao University, School of Safety Engineering and Emergency Management, Shijiazhuang 050043, China, bio=null, bioImg=null, bioContent=null, aboutCorrespAuthor=null)}, companyList=null), Author(id=1162119357885112627, tenantId=1045748351789510663, journalId=1155139928190095384, articleId=1159848937425264738, orderNo=6, firstName=null, middleName=null, lastName=null, nameCn=null, orcid=null, stid=null, country=null, authorPic=null, dead=0, email=null, emailSecond=null, emailThird=null, correspondingAuthor=0, authorType=1, ext={EN=AuthorExt(id=1162119358031913270, tenantId=1045748351789510663, journalId=1155139928190095384, articleId=1159848937425264738, authorId=1162119357885112627, language=EN, stringName=Qinghong Liu, firstName=Qinghong, middleName=null, lastName=Liu, prefix=null, suffix=null, authorComment=null, nameInitials=null, affiliation=null, department=null, xref=g, address=gChina Academy of Railway Sciences, Beijing 100081, China, bio=null, bioImg=null, bioContent=null, aboutCorrespAuthor=null), CN=AuthorExt(id=1162119358145159480, tenantId=1045748351789510663, journalId=1155139928190095384, articleId=1159848937425264738, authorId=1162119357885112627, language=CN, stringName=柳青红, firstName=null, middleName=null, lastName=null, prefix=null, suffix=null, authorComment=null, nameInitials=null, affiliation=null, department=null, xref=g, address=gChina Academy of Railway Sciences, Beijing 100081, China, bio=null, bioImg=null, bioContent=null, aboutCorrespAuthor=null)}, companyList=null), Author(id=1162119358258405690, tenantId=1045748351789510663, journalId=1155139928190095384, articleId=1159848937425264738, orderNo=7, firstName=null, middleName=null, lastName=null, nameCn=null, orcid=null, stid=null, country=null, authorPic=null, dead=0, email=null, emailSecond=null, emailThird=null, correspondingAuthor=0, authorType=1, ext={EN=AuthorExt(id=1162119358405206332, tenantId=1045748351789510663, journalId=1155139928190095384, articleId=1159848937425264738, authorId=1162119358258405690, language=EN, stringName=Mingming Wang, firstName=Mingming, middleName=null, lastName=Wang, prefix=null, suffix=null, authorComment=null, nameInitials=null, affiliation=null, department=null, xref=g, address=gChina Academy of Railway Sciences, Beijing 100081, China, bio=null, bioImg=null, bioContent=null, aboutCorrespAuthor=null), CN=AuthorExt(id=1162119358514258237, tenantId=1045748351789510663, journalId=1155139928190095384, articleId=1159848937425264738, authorId=1162119358258405690, language=CN, stringName=王铭铭, firstName=null, middleName=null, lastName=null, prefix=null, suffix=null, authorComment=null, nameInitials=null, affiliation=null, department=null, xref=g, address=gChina Academy of Railway Sciences, Beijing 100081, China, bio=null, bioImg=null, bioContent=null, aboutCorrespAuthor=null)}, companyList=null), Author(id=1162119358627504447, tenantId=1045748351789510663, journalId=1155139928190095384, articleId=1159848937425264738, orderNo=8, firstName=null, middleName=null, lastName=null, nameCn=null, orcid=null, stid=null, country=null, authorPic=null, dead=0, email=lmjia@bjtu.edu.cn, emailSecond=null, emailThird=null, correspondingAuthor=1, authorType=1, ext={EN=AuthorExt(id=1162119358774305089, tenantId=1045748351789510663, journalId=1155139928190095384, articleId=1159848937425264738, authorId=1162119358627504447, language=EN, stringName=Limin Jia, firstName=Limin, middleName=null, lastName=Jia, prefix=null, suffix=null, authorComment=null, nameInitials=null, affiliation=null, department=null, xref=a, *, address=aBeijing Jiaotong University, State Key Laboratory of Rail Traffic Control and Safety, Beijing 100044, China, bio=null, bioImg=null, bioContent=null, aboutCorrespAuthor=null), CN=AuthorExt(id=1162119358883356994, tenantId=1045748351789510663, journalId=1155139928190095384, articleId=1159848937425264738, authorId=1162119358627504447, language=CN, stringName=贾利民, firstName=null, middleName=null, lastName=null, prefix=null, suffix=null, authorComment=null, nameInitials=null, affiliation=null, department=null, xref=a, *, address=aBeijing Jiaotong University, State Key Laboratory of Rail Traffic Control and Safety, Beijing 100044, China, bio=null, bioImg=null, bioContent=null, aboutCorrespAuthor=null)}, companyList=null)]
    Yong Qin , Zhiwei Cao , Yongfu Sun , Linlin Kou , Xuejun Zhao , Yunpeng Wu , Qinghong Liu , Mingming Wang , Limin Jia

    Nowadays, there has been a growing trend in the field of high-energy physics (HEP), in both its experimental and phenomenological studies, to incorporate machine learning (ML) and its specialized branch, deep learning (DL). This review paper provides a thorough illustration of these applications using different ML and DL approaches. The first part of the paper examines the basics of various particle physics types and establishes guidelines for assessing particle physics alongside the available learning models. Next, a detailed classification is provided for representing Jets that are reconstructed in high-energy collisions, mainly in proton-proton collisions at well-defined beam energies. This section covers various datasets, preprocessing techniques, and feature extraction and selection methods. The presented techniques can be applied to future hadron−hadron colliders (HHC), such as the high-luminosity LHC (HL-LHC) and the future circular collider−hadron−hadron (FCC-hh). The authors then explore several AI techniques analyses designed specifically for both image and point-cloud (PC) data in HEP. Additionally, a closer look is taken at the classification associated with Jet tagging in hadron collisions. In this review, various state-of-the-art (SOTA) techniques in ML and DL are examined, with a focus on their implications for HEP demands. More precisely, this discussion addresses various applications in extensive detail, such as Jet tagging, Jet tracking, and particle classification. The review concludes with an analysis of the current state of HEP using DL methodologies. It highlights the challenges and potential areas for future research, which are illustrated for each application.